Get the free NC Adopt ERA. (Public) Sponsors: Senators Murdo
Show details
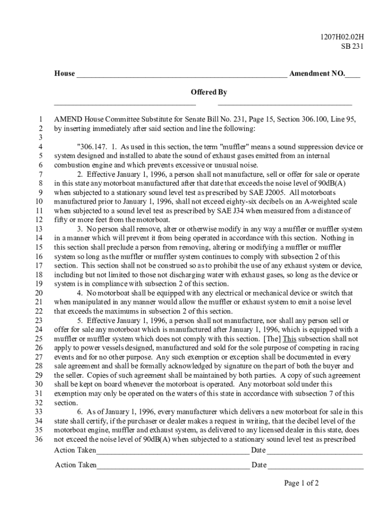
1207H02.02H SB 231 House ___ Amendment NO.___ Offered By ___ ___ 1 2 3 4 5 6 7 8 9 10 11 12 13 14 15 16 17 18 19 20 21 22 23 24 25 26 27 28 29 30 31 32 33 34 35 36AMEND House Committee Substitute
We are not affiliated with any brand or entity on this form
Get, Create, Make and Sign nc adopt era public
Edit your nc adopt era public form online
Type text, complete fillable fields, insert images, highlight or blackout data for discretion, add comments, and more.
Add your legally-binding signature
Draw or type your signature, upload a signature image, or capture it with your digital camera.
Share your form instantly
Email, fax, or share your nc adopt era public form via URL. You can also download, print, or export forms to your preferred cloud storage service.
How to edit nc adopt era public online
Follow the guidelines below to benefit from the PDF editor's expertise:
1
Create an account. Begin by choosing Start Free Trial and, if you are a new user, establish a profile.
2
Prepare a file. Use the Add New button. Then upload your file to the system from your device, importing it from internal mail, the cloud, or by adding its URL.
3
Edit nc adopt era public. Add and replace text, insert new objects, rearrange pages, add watermarks and page numbers, and more. Click Done when you are finished editing and go to the Documents tab to merge, split, lock or unlock the file.
4
Get your file. Select your file from the documents list and pick your export method. You may save it as a PDF, email it, or upload it to the cloud.
pdfFiller makes working with documents easier than you could ever imagine. Register for an account and see for yourself!
Uncompromising security for your PDF editing and eSignature needs
Your private information is safe with pdfFiller. We employ end-to-end encryption, secure cloud storage, and advanced access control to protect your documents and maintain regulatory compliance.
How to fill out nc adopt era public
How to fill out nc adopt era public
01
Visit the NC Adopt website and find the ERA Public application.
02
Fill out the required personal information including name, address, and contact details.
03
Provide information about the child you are looking to adopt, including their name, age, and any special needs.
04
Answer any additional questions about your family and living situation.
05
Submit the application online or by mail as per the instructions on the website.
Who needs nc adopt era public?
01
Anyone in North Carolina who is looking to adopt a child through the public adoption system.
Fill
form
: Try Risk Free
For pdfFiller’s FAQs
Below is a list of the most common customer questions. If you can’t find an answer to your question, please don’t hesitate to reach out to us.
How can I send nc adopt era public for eSignature?
nc adopt era public is ready when you're ready to send it out. With pdfFiller, you can send it out securely and get signatures in just a few clicks. PDFs can be sent to you by email, text message, fax, USPS mail, or notarized on your account. You can do this right from your account. Become a member right now and try it out for yourself!
How do I edit nc adopt era public in Chrome?
Install the pdfFiller Google Chrome Extension to edit nc adopt era public and other documents straight from Google search results. When reading documents in Chrome, you may edit them. Create fillable PDFs and update existing PDFs using pdfFiller.
How do I fill out the nc adopt era public form on my smartphone?
You can quickly make and fill out legal forms with the help of the pdfFiller app on your phone. Complete and sign nc adopt era public and other documents on your mobile device using the application. If you want to learn more about how the PDF editor works, go to pdfFiller.com.
What is nc adopt era public?
The NC Adopt ERA Public refers to the North Carolina Adoption and Foster Care Expansion Reporting Act, which mandates public reporting on various aspects of adoption and foster care in the state.
Who is required to file nc adopt era public?
Entities involved in adoption and foster care processes in North Carolina, including agencies and state departments, are required to file the NC Adopt ERA Public.
How to fill out nc adopt era public?
To fill out the NC Adopt ERA Public form, one must gather relevant data about adoptions and foster care placements, ensure accurate reporting of required information, and submit the completed form per state guidelines.
What is the purpose of nc adopt era public?
The purpose of the NC Adopt ERA Public is to enhance transparency, provide oversight, and improve the system of adoption and foster care by ensuring accurate data is reported to the public.
What information must be reported on nc adopt era public?
The NC Adopt ERA Public requires reporting information such as the number of adoptions, demography of children in foster care, outcomes of placements, and other relevant statistics.
Fill out your nc adopt era public online with pdfFiller!
pdfFiller is an end-to-end solution for managing, creating, and editing documents and forms in the cloud. Save time and hassle by preparing your tax forms online.
Nc Adopt Era Public is not the form you're looking for?Search for another form here.
Relevant keywords
Related Forms
If you believe that this page should be taken down, please follow our DMCA take down process
here
.
This form may include fields for payment information. Data entered in these fields is not covered by PCI DSS compliance.