Get the free NASA's Chris Mattmann on Apache technology - svn apache
Show details
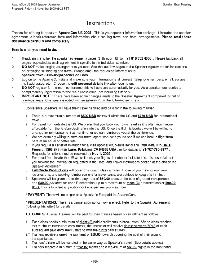
Pacheco US 2005 Speaker AgreementSpeaker: Brian MoseleyPrepared: Friday, 18 November 2005 09:28 Instructions
Thanks for offering to speak at Pacheco US 2005 ! This is your speaker information package.
We are not affiliated with any brand or entity on this form
Get, Create, Make and Sign nasas chris mattmann on
Edit your nasas chris mattmann on form online
Type text, complete fillable fields, insert images, highlight or blackout data for discretion, add comments, and more.
Add your legally-binding signature
Draw or type your signature, upload a signature image, or capture it with your digital camera.
Share your form instantly
Email, fax, or share your nasas chris mattmann on form via URL. You can also download, print, or export forms to your preferred cloud storage service.
Editing nasas chris mattmann on online
To use our professional PDF editor, follow these steps:
1
Create an account. Begin by choosing Start Free Trial and, if you are a new user, establish a profile.
2
Upload a file. Select Add New on your Dashboard and upload a file from your device or import it from the cloud, online, or internal mail. Then click Edit.
3
Edit nasas chris mattmann on. Rearrange and rotate pages, insert new and alter existing texts, add new objects, and take advantage of other helpful tools. Click Done to apply changes and return to your Dashboard. Go to the Documents tab to access merging, splitting, locking, or unlocking functions.
4
Get your file. When you find your file in the docs list, click on its name and choose how you want to save it. To get the PDF, you can save it, send an email with it, or move it to the cloud.
Dealing with documents is always simple with pdfFiller.
Uncompromising security for your PDF editing and eSignature needs
Your private information is safe with pdfFiller. We employ end-to-end encryption, secure cloud storage, and advanced access control to protect your documents and maintain regulatory compliance.
How to fill out nasas chris mattmann on
How to fill out nasas chris mattmann on
01
Obtain the necessary information such as the purpose of filling out NASA's Chris Mattmann form.
02
Visit the official NASA website or contact the relevant department to access the form.
03
Carefully read and understand each section of the form before providing any information.
04
Fill out the form accurately and truthfully, following any specific instructions or guidelines provided.
05
Review the completed form to ensure all required fields are filled out correctly and no errors are present.
06
Submit the form through the designated method, either online or in person, within the specified deadline.
Who needs nasas chris mattmann on?
01
Researchers and scientists collaborating with NASA on projects and data analysis.
02
Government agencies or organizations requiring expertise in satellite data management and processing.
03
Space enthusiasts or individuals interested in contributing to NASA's research and development efforts.
Fill
form
: Try Risk Free
For pdfFiller’s FAQs
Below is a list of the most common customer questions. If you can’t find an answer to your question, please don’t hesitate to reach out to us.
How do I execute nasas chris mattmann on online?
Filling out and eSigning nasas chris mattmann on is now simple. The solution allows you to change and reorganize PDF text, add fillable fields, and eSign the document. Start a free trial of pdfFiller, the best document editing solution.
How do I make edits in nasas chris mattmann on without leaving Chrome?
Add pdfFiller Google Chrome Extension to your web browser to start editing nasas chris mattmann on and other documents directly from a Google search page. The service allows you to make changes in your documents when viewing them in Chrome. Create fillable documents and edit existing PDFs from any internet-connected device with pdfFiller.
How do I complete nasas chris mattmann on on an Android device?
On an Android device, use the pdfFiller mobile app to finish your nasas chris mattmann on. The program allows you to execute all necessary document management operations, such as adding, editing, and removing text, signing, annotating, and more. You only need a smartphone and an internet connection.
What is nasas chris mattmann on?
Chris Mattmann is the Chief Technology and Innovation Officer at NASA's Jet Propulsion Laboratory.
Who is required to file nasas chris mattmann on?
Chris Mattmann is responsible for filing his own reports.
How to fill out nasas chris mattmann on?
Chris Mattmann must fill out the required forms online on NASA's internal system.
What is the purpose of nasas chris mattmann on?
The purpose of Chris Mattmann's reports is to document his work responsibilities and accomplishments.
What information must be reported on nasas chris mattmann on?
Chris Mattmann must report his project updates, tasks, achievements, and any issues faced.
Fill out your nasas chris mattmann on online with pdfFiller!
pdfFiller is an end-to-end solution for managing, creating, and editing documents and forms in the cloud. Save time and hassle by preparing your tax forms online.
Nasas Chris Mattmann On is not the form you're looking for?Search for another form here.
Relevant keywords
Related Forms
If you believe that this page should be taken down, please follow our DMCA take down process
here
.
This form may include fields for payment information. Data entered in these fields is not covered by PCI DSS compliance.