
Get the free (Design Services Name of Project)
Show details
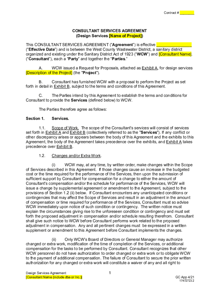
Contract # ___CONSULTANT SERVICES AGREEMENT
(Design Services [Name of Project])
This CONSULTANT SERVICES AGREEMENT (Agreement) is effective ___
(Effective Date) and is between the West County Wastewater
We are not affiliated with any brand or entity on this form
Get, Create, Make and Sign design services name of

Edit your design services name of form online
Type text, complete fillable fields, insert images, highlight or blackout data for discretion, add comments, and more.

Add your legally-binding signature
Draw or type your signature, upload a signature image, or capture it with your digital camera.

Share your form instantly
Email, fax, or share your design services name of form via URL. You can also download, print, or export forms to your preferred cloud storage service.
How to edit design services name of online
To use the services of a skilled PDF editor, follow these steps:
1
Log in to account. Click on Start Free Trial and sign up a profile if you don't have one yet.
2
Upload a file. Select Add New on your Dashboard and upload a file from your device or import it from the cloud, online, or internal mail. Then click Edit.
3
Edit design services name of. Rearrange and rotate pages, add and edit text, and use additional tools. To save changes and return to your Dashboard, click Done. The Documents tab allows you to merge, divide, lock, or unlock files.
4
Save your file. Select it from your list of records. Then, move your cursor to the right toolbar and choose one of the exporting options. You can save it in multiple formats, download it as a PDF, send it by email, or store it in the cloud, among other things.
pdfFiller makes working with documents easier than you could ever imagine. Register for an account and see for yourself!
Uncompromising security for your PDF editing and eSignature needs
Your private information is safe with pdfFiller. We employ end-to-end encryption, secure cloud storage, and advanced access control to protect your documents and maintain regulatory compliance.
How to fill out design services name of

How to fill out design services name of
01
Start by brainstorming potential names that are creative and unique.
02
Consider the target audience and the message you want to convey with the name.
03
Research to ensure the name is not already in use or trademarked by another company.
04
Finalize the name by taking feedback from colleagues or friends in the industry.
05
Register the name with the appropriate authorities to secure it for your design services.
Who needs design services name of?
01
Businesses looking to establish a strong brand identity.
02
Individuals starting a design business or freelancing in the design industry.
03
Companies rebranding or launching new design services.
04
Marketing agencies seeking a memorable name for their design services.
Fill
form
: Try Risk Free
For pdfFiller’s FAQs
Below is a list of the most common customer questions. If you can’t find an answer to your question, please don’t hesitate to reach out to us.
How do I complete design services name of online?
pdfFiller has made filling out and eSigning design services name of easy. The solution is equipped with a set of features that enable you to edit and rearrange PDF content, add fillable fields, and eSign the document. Start a free trial to explore all the capabilities of pdfFiller, the ultimate document editing solution.
How do I fill out the design services name of form on my smartphone?
You can easily create and fill out legal forms with the help of the pdfFiller mobile app. Complete and sign design services name of and other documents on your mobile device using the application. Visit pdfFiller’s webpage to learn more about the functionalities of the PDF editor.
How do I edit design services name of on an iOS device?
Yes, you can. With the pdfFiller mobile app, you can instantly edit, share, and sign design services name of on your iOS device. Get it at the Apple Store and install it in seconds. The application is free, but you will have to create an account to purchase a subscription or activate a free trial.
What is design services name of?
The design services name refers to a specific category of professional services provided by designers in various fields such as graphic, industrial, or web design.
Who is required to file design services name of?
Individuals or firms that offer design services and are required to comply with regulatory or licensing requirements must file their design services name.
How to fill out design services name of?
To fill out design services name, one must complete the designated form, providing details about the services offered, the business or individual's information, and any other required specifics as outlined by the regulatory body.
What is the purpose of design services name of?
The purpose of design services name is to formally register the type of design services being offered and ensure compliance with industry standards and regulations.
What information must be reported on design services name of?
The information that must be reported includes the name of the design service, the nature of the design work, the names of the service providers, and any relevant business registration numbers or licenses.
Fill out your design services name of online with pdfFiller!
pdfFiller is an end-to-end solution for managing, creating, and editing documents and forms in the cloud. Save time and hassle by preparing your tax forms online.

Design Services Name Of is not the form you're looking for?Search for another form here.
Relevant keywords
Related Forms
If you believe that this page should be taken down, please follow our DMCA take down process
here
.
This form may include fields for payment information. Data entered in these fields is not covered by PCI DSS compliance.