Get the free APPLICATION FOR OCCUPANCY FOR ...
Show details
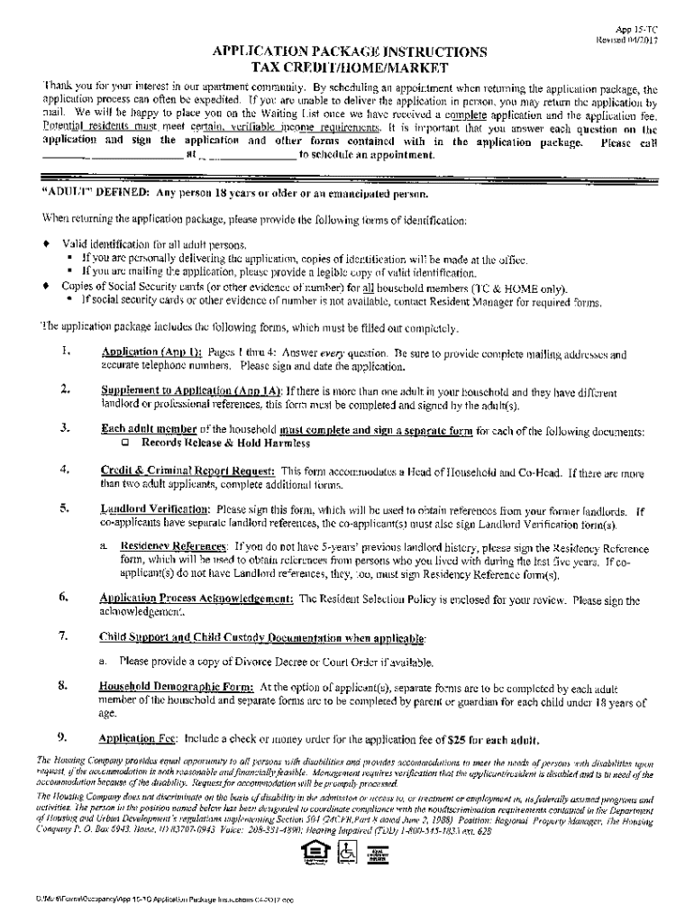
Lapp 1TC Page 1 of 4Revised 05/2019 FOR OFFICE USE ONLY: Date:Requested Bedroom Size:Special Needs:Time:Date Occupancy Desired:Gross Annual Income $___Tax Credit Unit Type: [ ] Market [ ] 60% [ ]
We are not affiliated with any brand or entity on this form
Get, Create, Make and Sign application for occupancy for
Edit your application for occupancy for form online
Type text, complete fillable fields, insert images, highlight or blackout data for discretion, add comments, and more.
Add your legally-binding signature
Draw or type your signature, upload a signature image, or capture it with your digital camera.
Share your form instantly
Email, fax, or share your application for occupancy for form via URL. You can also download, print, or export forms to your preferred cloud storage service.
How to edit application for occupancy for online
Follow the steps below to use a professional PDF editor:
1
Check your account. If you don't have a profile yet, click Start Free Trial and sign up for one.
2
Simply add a document. Select Add New from your Dashboard and import a file into the system by uploading it from your device or importing it via the cloud, online, or internal mail. Then click Begin editing.
3
Edit application for occupancy for. Rearrange and rotate pages, add new and changed texts, add new objects, and use other useful tools. When you're done, click Done. You can use the Documents tab to merge, split, lock, or unlock your files.
4
Save your file. Choose it from the list of records. Then, shift the pointer to the right toolbar and select one of the several exporting methods: save it in multiple formats, download it as a PDF, email it, or save it to the cloud.
With pdfFiller, it's always easy to work with documents. Try it!
Uncompromising security for your PDF editing and eSignature needs
Your private information is safe with pdfFiller. We employ end-to-end encryption, secure cloud storage, and advanced access control to protect your documents and maintain regulatory compliance.
How to fill out application for occupancy for
How to fill out application for occupancy for
01
Obtain application form for occupancy from the designated authority.
02
Fill out all required personal information including name, address, contact details, and occupation.
03
Provide information about the property you wish to occupy such as address, type of property, and tenure.
04
Include any supporting documents requested such as proof of identity, income, or references.
05
Submit the completed application form along with any required documentation to the appropriate office.
Who needs application for occupancy for?
01
Anyone who wishes to occupy a property, whether it be a rental property, a new home purchase, or a commercial space, may need to fill out an application for occupancy.
Fill
form
: Try Risk Free
For pdfFiller’s FAQs
Below is a list of the most common customer questions. If you can’t find an answer to your question, please don’t hesitate to reach out to us.
How can I edit application for occupancy for from Google Drive?
Simplify your document workflows and create fillable forms right in Google Drive by integrating pdfFiller with Google Docs. The integration will allow you to create, modify, and eSign documents, including application for occupancy for, without leaving Google Drive. Add pdfFiller’s functionalities to Google Drive and manage your paperwork more efficiently on any internet-connected device.
How can I send application for occupancy for for eSignature?
Once you are ready to share your application for occupancy for, you can easily send it to others and get the eSigned document back just as quickly. Share your PDF by email, fax, text message, or USPS mail, or notarize it online. You can do all of this without ever leaving your account.
How do I complete application for occupancy for on an iOS device?
Install the pdfFiller app on your iOS device to fill out papers. If you have a subscription to the service, create an account or log in to an existing one. After completing the registration process, upload your application for occupancy for. You may now use pdfFiller's advanced features, such as adding fillable fields and eSigning documents, and accessing them from any device, wherever you are.
What is application for occupancy for?
An application for occupancy is a formal request submitted to local authorities to obtain permission to occupy a building or property, confirming that it meets applicable codes and regulations.
Who is required to file application for occupancy for?
Typically, the property owner or developer is required to file the application for occupancy, though representatives or agents may also be permitted to submit it on their behalf.
How to fill out application for occupancy for?
To fill out an application for occupancy, the applicant must provide detailed information about the property, including its address, intended use, compliance with local regulations, and any necessary supporting documents, following the format provided by the local authority.
What is the purpose of application for occupancy for?
The purpose of an application for occupancy is to ensure that the building or property is safe for use and compliant with zoning, building codes, and safety regulations before it can be legally occupied.
What information must be reported on application for occupancy for?
Information that typically must be reported includes the address of the property, the intended use of the space, the name of the owner or applicant, any prior occupancy details, and documentation proving compliance with local building codes and safety standards.
Fill out your application for occupancy for online with pdfFiller!
pdfFiller is an end-to-end solution for managing, creating, and editing documents and forms in the cloud. Save time and hassle by preparing your tax forms online.
Application For Occupancy For is not the form you're looking for?Search for another form here.
Relevant keywords
If you believe that this page should be taken down, please follow our DMCA take down process
here
.
This form may include fields for payment information. Data entered in these fields is not covered by PCI DSS compliance.