Get the free 2021-2022 Financial Statements - Library and Archives Canada
Show details
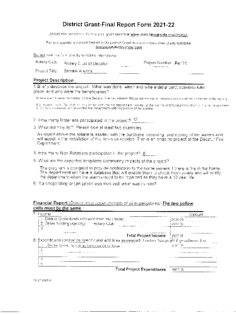
District GrantFinal Report Form 202122 Llrro:d trirs:oin[j eted i.rm toy.!lrant recnrd atFo. 3nv ques|oDs ..irta.1 Drst.ct5i\'9t D sr, ct cr.nt S!\'rcrnr!.1,ttee crrarr Dust! d]blrlrLrr,/1. rrt! r\',.o,.,r,.q!_!q!io!
We are not affiliated with any brand or entity on this form
Get, Create, Make and Sign 2021-2022 financial statements
Edit your 2021-2022 financial statements form online
Type text, complete fillable fields, insert images, highlight or blackout data for discretion, add comments, and more.
Add your legally-binding signature
Draw or type your signature, upload a signature image, or capture it with your digital camera.
Share your form instantly
Email, fax, or share your 2021-2022 financial statements form via URL. You can also download, print, or export forms to your preferred cloud storage service.
How to edit 2021-2022 financial statements online
To use our professional PDF editor, follow these steps:
1
Register the account. Begin by clicking Start Free Trial and create a profile if you are a new user.
2
Upload a document. Select Add New on your Dashboard and transfer a file into the system in one of the following ways: by uploading it from your device or importing from the cloud, web, or internal mail. Then, click Start editing.
3
Edit 2021-2022 financial statements. Rearrange and rotate pages, add and edit text, and use additional tools. To save changes and return to your Dashboard, click Done. The Documents tab allows you to merge, divide, lock, or unlock files.
4
Save your file. Select it from your list of records. Then, move your cursor to the right toolbar and choose one of the exporting options. You can save it in multiple formats, download it as a PDF, send it by email, or store it in the cloud, among other things.
pdfFiller makes dealing with documents a breeze. Create an account to find out!
Uncompromising security for your PDF editing and eSignature needs
Your private information is safe with pdfFiller. We employ end-to-end encryption, secure cloud storage, and advanced access control to protect your documents and maintain regulatory compliance.
How to fill out 2021-2022 financial statements
How to fill out 2021-2022 financial statements
01
Gather all necessary financial documents such as income statements, balance sheets, and cash flow statements for the 2021-2022 fiscal year.
02
Review and analyze the financial data to ensure accuracy and completeness before filling out the financial statements.
03
Identify and categorize the various financial transactions according to the appropriate accounting standards and principles.
04
Fill out the specific sections of the financial statements including income, expenses, assets, liabilities, and equity.
05
Double-check all calculations and figures to avoid any errors or discrepancies.
06
Submit the completed 2021-2022 financial statements to the relevant authorities or stakeholders as required.
Who needs 2021-2022 financial statements?
01
Business owners and shareholders who need to track the financial performance and health of their company.
02
Investors and creditors who require financial statements to assess the financial position and creditworthiness of a company.
03
Government agencies and regulatory bodies that use financial statements for tax reporting and compliance purposes.
04
Financial analysts and consultants who analyze financial statements to provide insights and recommendations to clients.
Fill
form
: Try Risk Free
For pdfFiller’s FAQs
Below is a list of the most common customer questions. If you can’t find an answer to your question, please don’t hesitate to reach out to us.
How can I edit 2021-2022 financial statements from Google Drive?
You can quickly improve your document management and form preparation by integrating pdfFiller with Google Docs so that you can create, edit and sign documents directly from your Google Drive. The add-on enables you to transform your 2021-2022 financial statements into a dynamic fillable form that you can manage and eSign from any internet-connected device.
How can I get 2021-2022 financial statements?
The pdfFiller premium subscription gives you access to a large library of fillable forms (over 25 million fillable templates) that you can download, fill out, print, and sign. In the library, you'll have no problem discovering state-specific 2021-2022 financial statements and other forms. Find the template you want and tweak it with powerful editing tools.
How do I edit 2021-2022 financial statements in Chrome?
2021-2022 financial statements can be edited, filled out, and signed with the pdfFiller Google Chrome Extension. You can open the editor right from a Google search page with just one click. Fillable documents can be done on any web-connected device without leaving Chrome.
What is financial statements - library?
Financial statements in a library setting refer to the documents that outline the financial activities and overall financial position of the library.
Who is required to file financial statements - library?
Libraries, whether public, private, or academic, are typically required to file financial statements to comply with accounting and reporting regulations.
How to fill out financial statements - library?
Financial statements for libraries can be filled out by gathering financial data, preparing income statements, balance sheets, and cash flow statements, and ensuring accuracy and compliance with accounting standards.
What is the purpose of financial statements - library?
The purpose of financial statements for libraries is to provide stakeholders, such as board members, donors, and government agencies, with an overview of the library's financial performance and position.
What information must be reported on financial statements - library?
Financial statements for libraries must include information on revenues, expenses, assets, liabilities, and net assets to provide a comprehensive view of the library's financial health.
Fill out your 2021-2022 financial statements online with pdfFiller!
pdfFiller is an end-to-end solution for managing, creating, and editing documents and forms in the cloud. Save time and hassle by preparing your tax forms online.
2021-2022 Financial Statements is not the form you're looking for?Search for another form here.
Relevant keywords
Related Forms
If you believe that this page should be taken down, please follow our DMCA take down process
here
.
This form may include fields for payment information. Data entered in these fields is not covered by PCI DSS compliance.