Get the free Texas A&M University-Commerce Athletics - Official Athletics ...
Show details
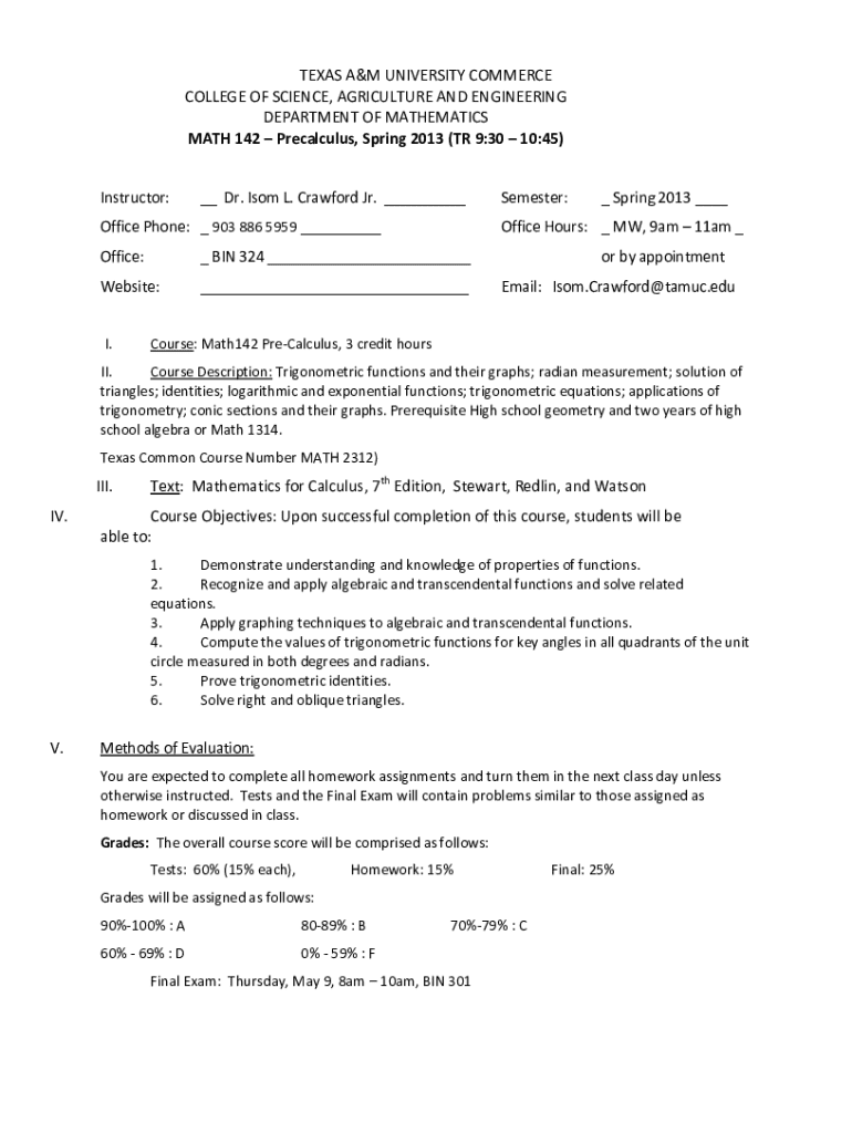
TEXAS A&M UNIVERSITY COMMERCE
COLLEGE OF SCIENCE, AGRICULTURE AND ENGINEERING
DEPARTMENT OF MATHEMATICS
MATH 142 Precalculus, Spring 2013 (TR 9:30 10:45)
Instructor:__ Dr. IOM L. Crawford Jr. ___Office
We are not affiliated with any brand or entity on this form
Get, Create, Make and Sign texas aampm university-commerce athletics
Edit your texas aampm university-commerce athletics form online
Type text, complete fillable fields, insert images, highlight or blackout data for discretion, add comments, and more.
Add your legally-binding signature
Draw or type your signature, upload a signature image, or capture it with your digital camera.
Share your form instantly
Email, fax, or share your texas aampm university-commerce athletics form via URL. You can also download, print, or export forms to your preferred cloud storage service.
Editing texas aampm university-commerce athletics online
Use the instructions below to start using our professional PDF editor:
1
Register the account. Begin by clicking Start Free Trial and create a profile if you are a new user.
2
Upload a file. Select Add New on your Dashboard and upload a file from your device or import it from the cloud, online, or internal mail. Then click Edit.
3
Edit texas aampm university-commerce athletics. Rearrange and rotate pages, add new and changed texts, add new objects, and use other useful tools. When you're done, click Done. You can use the Documents tab to merge, split, lock, or unlock your files.
4
Save your file. Choose it from the list of records. Then, shift the pointer to the right toolbar and select one of the several exporting methods: save it in multiple formats, download it as a PDF, email it, or save it to the cloud.
pdfFiller makes dealing with documents a breeze. Create an account to find out!
Uncompromising security for your PDF editing and eSignature needs
Your private information is safe with pdfFiller. We employ end-to-end encryption, secure cloud storage, and advanced access control to protect your documents and maintain regulatory compliance.
How to fill out texas aampm university-commerce athletics
How to fill out texas aampm university-commerce athletics
01
Visit the Texas A&M University-Commerce Athletics website.
02
Find the section for joining athletics or registering for a sports team.
03
Fill out the required information such as personal details, contact information, sports preferences, and medical history.
04
Submit any necessary forms or documents requested by the athletics department.
05
Wait for confirmation from the university or athletics department regarding the status of your application.
Who needs texas aampm university-commerce athletics?
01
Students who are interested in participating in college-level sports teams or athletics programs.
02
Athletes looking to enhance their skills, compete at a higher level, and potentially earn scholarships.
03
Fans and supporters of Texas A&M University-Commerce who want to stay updated on the university's sports events and achievements.
Fill
form
: Try Risk Free
For pdfFiller’s FAQs
Below is a list of the most common customer questions. If you can’t find an answer to your question, please don’t hesitate to reach out to us.
How can I manage my texas aampm university-commerce athletics directly from Gmail?
Using pdfFiller's Gmail add-on, you can edit, fill out, and sign your texas aampm university-commerce athletics and other papers directly in your email. You may get it through Google Workspace Marketplace. Make better use of your time by handling your papers and eSignatures.
How can I send texas aampm university-commerce athletics to be eSigned by others?
When your texas aampm university-commerce athletics is finished, send it to recipients securely and gather eSignatures with pdfFiller. You may email, text, fax, mail, or notarize a PDF straight from your account. Create an account today to test it.
Can I edit texas aampm university-commerce athletics on an Android device?
You can edit, sign, and distribute texas aampm university-commerce athletics on your mobile device from anywhere using the pdfFiller mobile app for Android; all you need is an internet connection. Download the app and begin streamlining your document workflow from anywhere.
What is texas aampm university-commerce athletics?
Texas A&M University-Commerce athletics include a variety of sports programs offered by the university for student-athletes to participate in.
Who is required to file texas aampm university-commerce athletics?
The athletics department and university officials are typically responsible for filing Texas A&M University-Commerce athletics reports.
How to fill out texas aampm university-commerce athletics?
To fill out Texas A&M University-Commerce athletics reports, one must provide accurate and detailed information about the athletic programs, budgets, and expenditures.
What is the purpose of texas aampm university-commerce athletics?
The purpose of Texas A&M University-Commerce athletics is to provide students with opportunities to participate in sports, promote school spirit, and represent the university in athletic competitions.
What information must be reported on texas aampm university-commerce athletics?
Information such as sports programs offered, budgets, expenses, revenue, and compliance with athletic regulations must be reported on Texas A&M University-Commerce athletics.
Fill out your texas aampm university-commerce athletics online with pdfFiller!
pdfFiller is an end-to-end solution for managing, creating, and editing documents and forms in the cloud. Save time and hassle by preparing your tax forms online.
Texas Aampm University-Commerce Athletics is not the form you're looking for?Search for another form here.
Relevant keywords
Related Forms
If you believe that this page should be taken down, please follow our DMCA take down process
here
.
This form may include fields for payment information. Data entered in these fields is not covered by PCI DSS compliance.