
Get the free SAMPLE EMAIL TO BE SENT TO LOCAL HEALTH DEPARTMENTS FROM DSPHS ADMINISTRATIONS, MEDI...
Show details
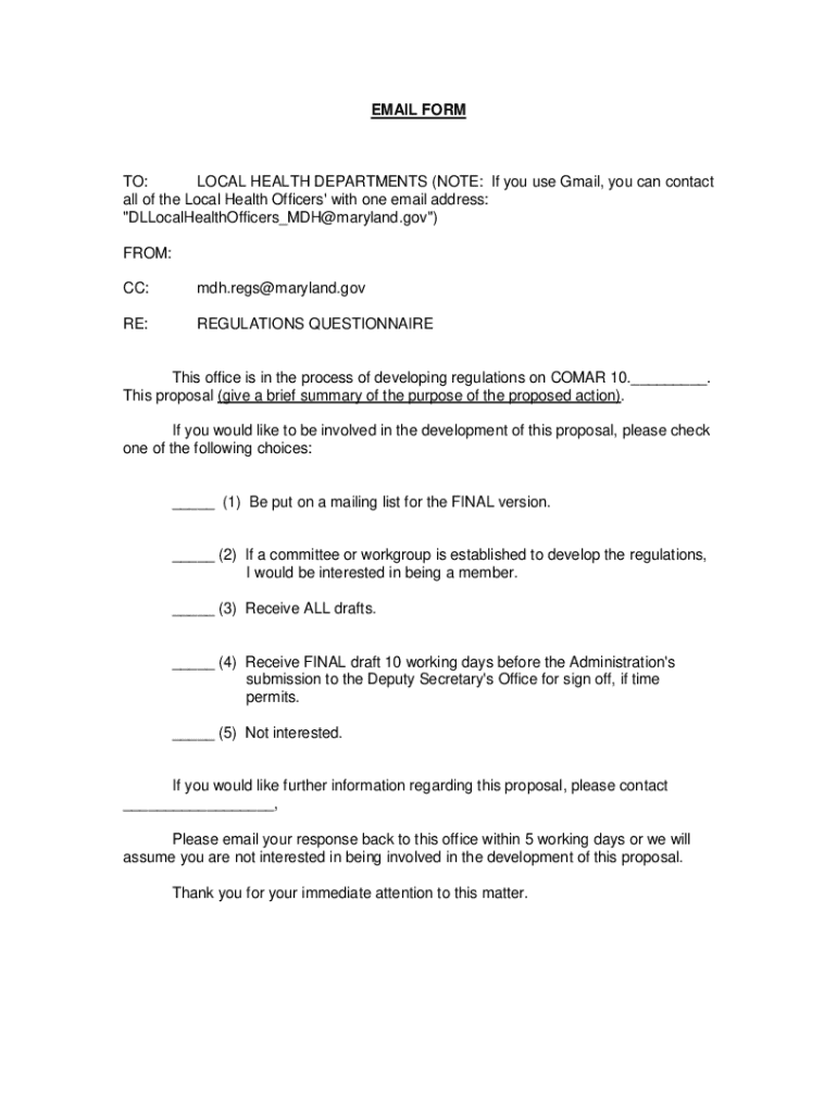
EMAIL FOR MTO: LOCAL HEALTH DEPARTMENTS (NOTE: If you use Gmail, you can contact all the Local Health Officers\' with one email address: \”DLLocalHealthOfficers_MDH@maryland.gov\”) FROM: CC:mph.regs@maryland.govRE:REGULATIONS
We are not affiliated with any brand or entity on this form
Get, Create, Make and Sign sample email to be

Edit your sample email to be form online
Type text, complete fillable fields, insert images, highlight or blackout data for discretion, add comments, and more.

Add your legally-binding signature
Draw or type your signature, upload a signature image, or capture it with your digital camera.

Share your form instantly
Email, fax, or share your sample email to be form via URL. You can also download, print, or export forms to your preferred cloud storage service.
Editing sample email to be online
Use the instructions below to start using our professional PDF editor:
1
Set up an account. If you are a new user, click Start Free Trial and establish a profile.
2
Prepare a file. Use the Add New button to start a new project. Then, using your device, upload your file to the system by importing it from internal mail, the cloud, or adding its URL.
3
Edit sample email to be. Rearrange and rotate pages, insert new and alter existing texts, add new objects, and take advantage of other helpful tools. Click Done to apply changes and return to your Dashboard. Go to the Documents tab to access merging, splitting, locking, or unlocking functions.
4
Save your file. Select it in the list of your records. Then, move the cursor to the right toolbar and choose one of the available exporting methods: save it in multiple formats, download it as a PDF, send it by email, or store it in the cloud.
Dealing with documents is simple using pdfFiller.
Uncompromising security for your PDF editing and eSignature needs
Your private information is safe with pdfFiller. We employ end-to-end encryption, secure cloud storage, and advanced access control to protect your documents and maintain regulatory compliance.
How to fill out sample email to be

How to fill out sample email to be
01
Start by addressing the recipient with a proper salutation, such as 'Dear [Name],'
02
Clearly state the purpose of the email in the subject line
03
In the body of the email, provide a brief introduction about yourself or your reason for contacting the recipient
04
Include specific details or information you want to convey
05
Close the email with a polite closing, such as 'Sincerely,' or 'Best regards,' followed by your name
Who needs sample email to be?
01
Anyone who needs to communicate with someone via email in a clear and professional manner
Fill
form
: Try Risk Free
For pdfFiller’s FAQs
Below is a list of the most common customer questions. If you can’t find an answer to your question, please don’t hesitate to reach out to us.
How do I modify my sample email to be in Gmail?
The pdfFiller Gmail add-on lets you create, modify, fill out, and sign sample email to be and other documents directly in your email. Click here to get pdfFiller for Gmail. Eliminate tedious procedures and handle papers and eSignatures easily.
Can I create an electronic signature for signing my sample email to be in Gmail?
When you use pdfFiller's add-on for Gmail, you can add or type a signature. You can also draw a signature. pdfFiller lets you eSign your sample email to be and other documents right from your email. In order to keep signed documents and your own signatures, you need to sign up for an account.
How do I fill out sample email to be on an Android device?
Use the pdfFiller Android app to finish your sample email to be and other documents on your Android phone. The app has all the features you need to manage your documents, like editing content, eSigning, annotating, sharing files, and more. At any time, as long as there is an internet connection.
What is sample email to be?
Sample email to be is an example email template that needs to be filled out and sent out.
Who is required to file sample email to be?
Any individual or organization who needs to send out a specified email.
How to fill out sample email to be?
Fill out the required fields such as recipient's email, subject, body of the email, and any attachments.
What is the purpose of sample email to be?
The purpose of sample email to be is to provide a standard template for sending out important emails.
What information must be reported on sample email to be?
The email template should include all necessary information such as sender's details, recipient's details, subject, message, and any attachments.
Fill out your sample email to be online with pdfFiller!
pdfFiller is an end-to-end solution for managing, creating, and editing documents and forms in the cloud. Save time and hassle by preparing your tax forms online.

Sample Email To Be is not the form you're looking for?Search for another form here.
Relevant keywords
Related Forms
If you believe that this page should be taken down, please follow our DMCA take down process
here
.
This form may include fields for payment information. Data entered in these fields is not covered by PCI DSS compliance.