Get the free verified authorization by sole proprietor designating full- ...
Show details
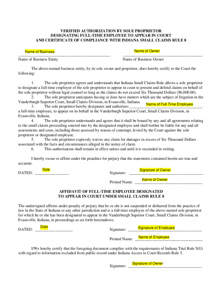
VERIFIED AUTHORIZATION BY SOLE PROPRIETOR DESIGNATING FULL TIME EMPLOYEE TO APPEAR IN COURT AND CERTIFICATE OF COMPLIANCE WITH INDIANA SMALL CLAIMS RULE 8 Name of Overcame of Business___ Name of Business
We are not affiliated with any brand or entity on this form
Get, Create, Make and Sign verified authorization by sole
Edit your verified authorization by sole form online
Type text, complete fillable fields, insert images, highlight or blackout data for discretion, add comments, and more.
Add your legally-binding signature
Draw or type your signature, upload a signature image, or capture it with your digital camera.
Share your form instantly
Email, fax, or share your verified authorization by sole form via URL. You can also download, print, or export forms to your preferred cloud storage service.
Editing verified authorization by sole online
Here are the steps you need to follow to get started with our professional PDF editor:
1
Create an account. Begin by choosing Start Free Trial and, if you are a new user, establish a profile.
2
Prepare a file. Use the Add New button to start a new project. Then, using your device, upload your file to the system by importing it from internal mail, the cloud, or adding its URL.
3
Edit verified authorization by sole. Rearrange and rotate pages, add and edit text, and use additional tools. To save changes and return to your Dashboard, click Done. The Documents tab allows you to merge, divide, lock, or unlock files.
4
Get your file. When you find your file in the docs list, click on its name and choose how you want to save it. To get the PDF, you can save it, send an email with it, or move it to the cloud.
Uncompromising security for your PDF editing and eSignature needs
Your private information is safe with pdfFiller. We employ end-to-end encryption, secure cloud storage, and advanced access control to protect your documents and maintain regulatory compliance.
How to fill out verified authorization by sole
How to fill out verified authorization by sole
01
Obtain the verified authorization by sole form from the relevant authority or organization.
02
Fill in the necessary personal details such as name, address, contact information, etc.
03
Clearly state the purpose for which the authorization is being granted.
04
Sign and date the form in the designated spaces to signify your consent and agreement to the authorization.
Who needs verified authorization by sole?
01
Individuals who need to authorize a specific action or decision on their behalf but do not wish to involve any other parties in the process.
Fill
form
: Try Risk Free
For pdfFiller’s FAQs
Below is a list of the most common customer questions. If you can’t find an answer to your question, please don’t hesitate to reach out to us.
How do I edit verified authorization by sole straight from my smartphone?
The easiest way to edit documents on a mobile device is using pdfFiller’s mobile-native apps for iOS and Android. You can download those from the Apple Store and Google Play, respectively. You can learn more about the apps here. Install and log in to the application to start editing verified authorization by sole.
Can I edit verified authorization by sole on an iOS device?
No, you can't. With the pdfFiller app for iOS, you can edit, share, and sign verified authorization by sole right away. At the Apple Store, you can buy and install it in a matter of seconds. The app is free, but you will need to set up an account if you want to buy a subscription or start a free trial.
How do I complete verified authorization by sole on an iOS device?
In order to fill out documents on your iOS device, install the pdfFiller app. Create an account or log in to an existing one if you have a subscription to the service. Once the registration process is complete, upload your verified authorization by sole. You now can take advantage of pdfFiller's advanced functionalities: adding fillable fields and eSigning documents, and accessing them from any device, wherever you are.
What is verified authorization by sole?
Verified authorization by sole is a legal process where an individual gives permission for a specific action or transaction.
Who is required to file verified authorization by sole?
Any individual who wants to authorize a specific action or transaction.
How to fill out verified authorization by sole?
To fill out verified authorization by sole, an individual must provide their personal information and details of the authorization.
What is the purpose of verified authorization by sole?
The purpose of verified authorization by sole is to ensure that the individual has given their consent for a specific action or transaction.
What information must be reported on verified authorization by sole?
The information reported on verified authorization by sole includes the individual's name, contact information, and details of the authorization.
Fill out your verified authorization by sole online with pdfFiller!
pdfFiller is an end-to-end solution for managing, creating, and editing documents and forms in the cloud. Save time and hassle by preparing your tax forms online.
Verified Authorization By Sole is not the form you're looking for?Search for another form here.
Relevant keywords
If you believe that this page should be taken down, please follow our DMCA take down process
here
.
This form may include fields for payment information. Data entered in these fields is not covered by PCI DSS compliance.