
Get the free ICA. Contractor Agreement
Show details
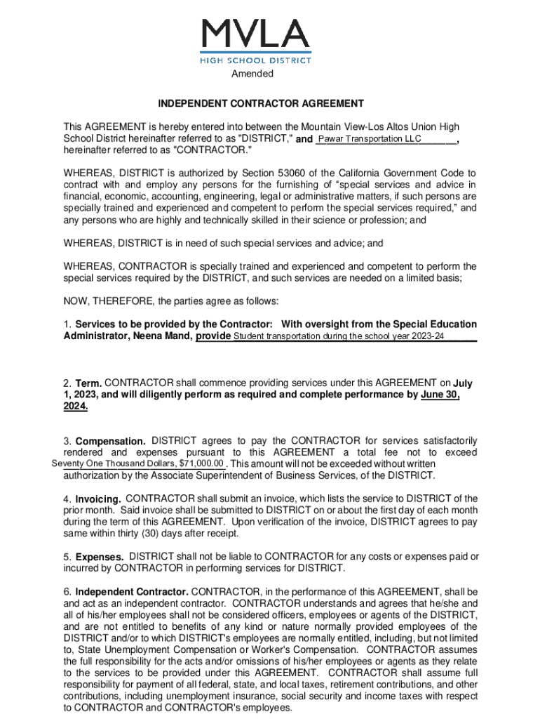
Amended INDEPENDENT CONTRACTOR AGREEMENT This AGREEMENT is hereby entered into between the Mountain View Los Altos Union High Paar Transportation LLC School District hereinafter referred to as \”DISTRICT,
We are not affiliated with any brand or entity on this form
Get, Create, Make and Sign ica contractor agreement

Edit your ica contractor agreement form online
Type text, complete fillable fields, insert images, highlight or blackout data for discretion, add comments, and more.

Add your legally-binding signature
Draw or type your signature, upload a signature image, or capture it with your digital camera.

Share your form instantly
Email, fax, or share your ica contractor agreement form via URL. You can also download, print, or export forms to your preferred cloud storage service.
How to edit ica contractor agreement online
To use our professional PDF editor, follow these steps:
1
Log into your account. In case you're new, it's time to start your free trial.
2
Prepare a file. Use the Add New button to start a new project. Then, using your device, upload your file to the system by importing it from internal mail, the cloud, or adding its URL.
3
Edit ica contractor agreement. Replace text, adding objects, rearranging pages, and more. Then select the Documents tab to combine, divide, lock or unlock the file.
4
Save your file. Select it in the list of your records. Then, move the cursor to the right toolbar and choose one of the available exporting methods: save it in multiple formats, download it as a PDF, send it by email, or store it in the cloud.
It's easier to work with documents with pdfFiller than you could have believed. You can sign up for an account to see for yourself.
Uncompromising security for your PDF editing and eSignature needs
Your private information is safe with pdfFiller. We employ end-to-end encryption, secure cloud storage, and advanced access control to protect your documents and maintain regulatory compliance.
How to fill out ica contractor agreement

How to fill out ica contractor agreement
01
Read through the ICA contractor agreement carefully to understand all terms and conditions.
02
Fill in your personal details such as name, address, and contact information.
03
Specify the services you will be providing as a contractor.
04
Outline the payment terms, including rates and scheduling.
05
Include any additional clauses or agreements specific to your contract.
06
Review the agreement thoroughly before signing to ensure accuracy and understanding.
Who needs ica contractor agreement?
01
Freelancers
02
Independent contractors
03
Companies hiring external services
Fill
form
: Try Risk Free
For pdfFiller’s FAQs
Below is a list of the most common customer questions. If you can’t find an answer to your question, please don’t hesitate to reach out to us.
Can I create an electronic signature for signing my ica contractor agreement in Gmail?
You can easily create your eSignature with pdfFiller and then eSign your ica contractor agreement directly from your inbox with the help of pdfFiller’s add-on for Gmail. Please note that you must register for an account in order to save your signatures and signed documents.
Can I edit ica contractor agreement on an iOS device?
No, you can't. With the pdfFiller app for iOS, you can edit, share, and sign ica contractor agreement right away. At the Apple Store, you can buy and install it in a matter of seconds. The app is free, but you will need to set up an account if you want to buy a subscription or start a free trial.
How do I edit ica contractor agreement on an Android device?
The pdfFiller app for Android allows you to edit PDF files like ica contractor agreement. Mobile document editing, signing, and sending. Install the app to ease document management anywhere.
What is ica contractor agreement?
An ICA (Independent Contractor Agreement) is a legal agreement between a hiring company and an independent contractor outlining the terms of their working relationship.
Who is required to file ica contractor agreement?
Both the hiring company and the independent contractor are required to file the ICA contractor agreement.
How to fill out ica contractor agreement?
The ICA contractor agreement can be filled out by detailing the scope of work, compensation, terms of payment, and other relevant details agreed upon by both parties.
What is the purpose of ica contractor agreement?
The purpose of an ICA contractor agreement is to establish a clear understanding of the working relationship between the hiring company and the independent contractor, including expectations, responsibilities, and payment terms.
What information must be reported on ica contractor agreement?
The ICA contractor agreement must include details such as the scope of work, payment terms, confidentiality provisions, and dispute resolution mechanisms.
Fill out your ica contractor agreement online with pdfFiller!
pdfFiller is an end-to-end solution for managing, creating, and editing documents and forms in the cloud. Save time and hassle by preparing your tax forms online.

Ica Contractor Agreement is not the form you're looking for?Search for another form here.
Relevant keywords
Related Forms
If you believe that this page should be taken down, please follow our DMCA take down process
here
.
This form may include fields for payment information. Data entered in these fields is not covered by PCI DSS compliance.