Get the free 5100.4: Enrollment of Students - Foreign Exchange Students
Show details
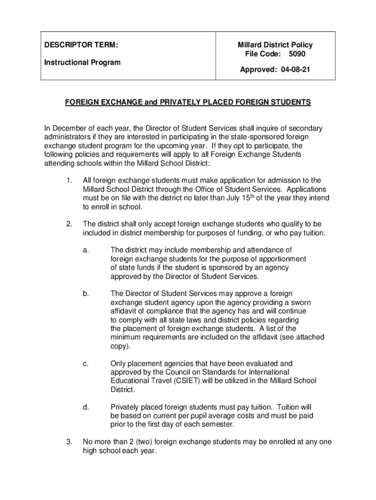
DESCRIPTOR TERM:Millard District Policy File Code: 5090Instructional Program Approved: 040821FOREIGN EXCHANGE and PRIVATELY PLACED FOREIGN STUDENTS In December of each year, the Director of Student
We are not affiliated with any brand or entity on this form
Get, Create, Make and Sign 51004 enrollment of students
Edit your 51004 enrollment of students form online
Type text, complete fillable fields, insert images, highlight or blackout data for discretion, add comments, and more.
Add your legally-binding signature
Draw or type your signature, upload a signature image, or capture it with your digital camera.
Share your form instantly
Email, fax, or share your 51004 enrollment of students form via URL. You can also download, print, or export forms to your preferred cloud storage service.
Editing 51004 enrollment of students online
Use the instructions below to start using our professional PDF editor:
1
Register the account. Begin by clicking Start Free Trial and create a profile if you are a new user.
2
Prepare a file. Use the Add New button to start a new project. Then, using your device, upload your file to the system by importing it from internal mail, the cloud, or adding its URL.
3
Edit 51004 enrollment of students. Rearrange and rotate pages, insert new and alter existing texts, add new objects, and take advantage of other helpful tools. Click Done to apply changes and return to your Dashboard. Go to the Documents tab to access merging, splitting, locking, or unlocking functions.
4
Save your file. Select it in the list of your records. Then, move the cursor to the right toolbar and choose one of the available exporting methods: save it in multiple formats, download it as a PDF, send it by email, or store it in the cloud.
The use of pdfFiller makes dealing with documents straightforward. Now is the time to try it!
Uncompromising security for your PDF editing and eSignature needs
Your private information is safe with pdfFiller. We employ end-to-end encryption, secure cloud storage, and advanced access control to protect your documents and maintain regulatory compliance.
How to fill out 51004 enrollment of students
How to fill out 51004 enrollment of students
01
Collect all necessary information of students like name, date of birth, address, contact information, etc.
02
Open the 51004 enrollment form and start filling out the required fields with the gathered information.
03
Double check all the information to ensure accuracy and completeness.
04
Submit the filled out form to the appropriate authority for processing.
Who needs 51004 enrollment of students?
01
Schools and educational institutions needing to enroll new students into their system.
02
Government agencies or departments requiring student enrollment data for administrative purposes.
Fill
form
: Try Risk Free
For pdfFiller’s FAQs
Below is a list of the most common customer questions. If you can’t find an answer to your question, please don’t hesitate to reach out to us.
How do I modify my 51004 enrollment of students in Gmail?
Using pdfFiller's Gmail add-on, you can edit, fill out, and sign your 51004 enrollment of students and other papers directly in your email. You may get it through Google Workspace Marketplace. Make better use of your time by handling your papers and eSignatures.
How can I modify 51004 enrollment of students without leaving Google Drive?
By combining pdfFiller with Google Docs, you can generate fillable forms directly in Google Drive. No need to leave Google Drive to make edits or sign documents, including 51004 enrollment of students. Use pdfFiller's features in Google Drive to handle documents on any internet-connected device.
How do I complete 51004 enrollment of students on an iOS device?
Download and install the pdfFiller iOS app. Then, launch the app and log in or create an account to have access to all of the editing tools of the solution. Upload your 51004 enrollment of students from your device or cloud storage to open it, or input the document URL. After filling out all of the essential areas in the document and eSigning it (if necessary), you may save it or share it with others.
What is 51004 enrollment of students?
51004 enrollment of students refers to the process of reporting the total number of students enrolled in a school or educational institution.
Who is required to file 51004 enrollment of students?
School administrators or designated officials are typically required to file 51004 enrollment of students.
How to fill out 51004 enrollment of students?
To fill out 51004 enrollment of students, administrators usually need to provide accurate information about the total number of students enrolled in different grade levels and programs.
What is the purpose of 51004 enrollment of students?
The purpose of 51004 enrollment of students is to collect data on student enrollment for reporting and funding purposes.
What information must be reported on 51004 enrollment of students?
Information such as total student enrollment, grade levels, and any specialized programs or services students are enrolled in must be reported on 51004 enrollment of students.
Fill out your 51004 enrollment of students online with pdfFiller!
pdfFiller is an end-to-end solution for managing, creating, and editing documents and forms in the cloud. Save time and hassle by preparing your tax forms online.
51004 Enrollment Of Students is not the form you're looking for?Search for another form here.
Relevant keywords
Related Forms
If you believe that this page should be taken down, please follow our DMCA take down process
here
.
This form may include fields for payment information. Data entered in these fields is not covered by PCI DSS compliance.