Get the free National Art Education Association Constitution and Bylaws
Show details
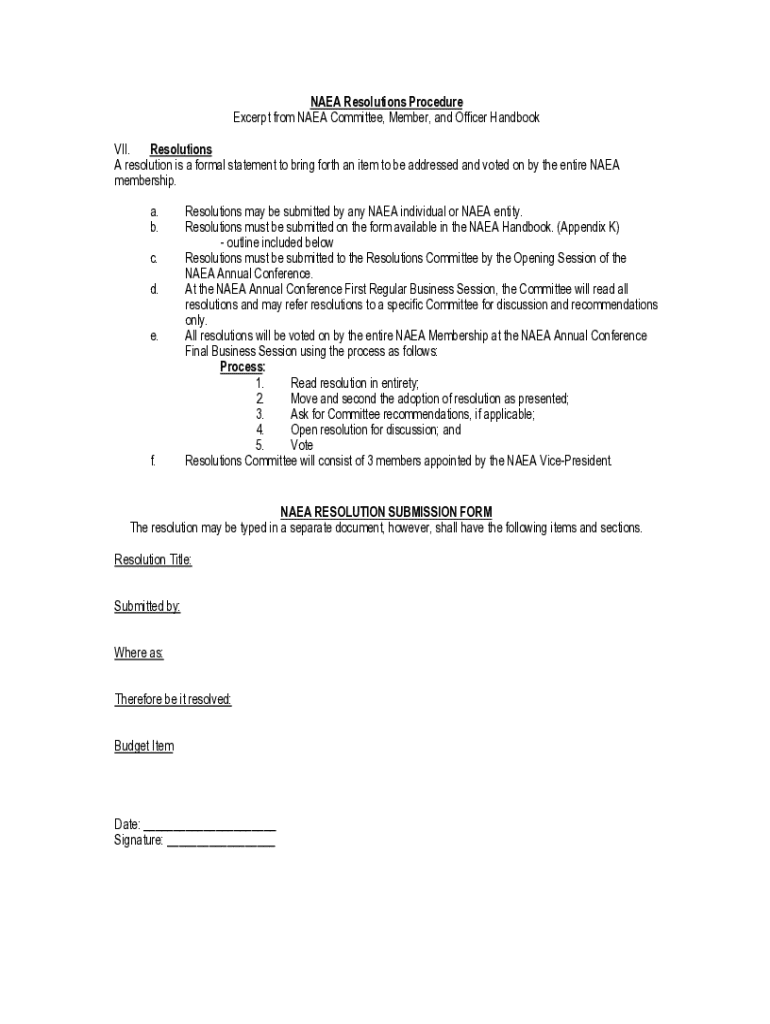
NASA Resolutions Procedure Excerpt from NASA Committee, Member, and Officer Handbook VII. Resolutions A resolution is a formal statement to bring forth an item to be addressed and voted on by the
We are not affiliated with any brand or entity on this form
Get, Create, Make and Sign national art education association
Edit your national art education association form online
Type text, complete fillable fields, insert images, highlight or blackout data for discretion, add comments, and more.
Add your legally-binding signature
Draw or type your signature, upload a signature image, or capture it with your digital camera.
Share your form instantly
Email, fax, or share your national art education association form via URL. You can also download, print, or export forms to your preferred cloud storage service.
Editing national art education association online
To use our professional PDF editor, follow these steps:
1
Check your account. If you don't have a profile yet, click Start Free Trial and sign up for one.
2
Simply add a document. Select Add New from your Dashboard and import a file into the system by uploading it from your device or importing it via the cloud, online, or internal mail. Then click Begin editing.
3
Edit national art education association. Rearrange and rotate pages, add and edit text, and use additional tools. To save changes and return to your Dashboard, click Done. The Documents tab allows you to merge, divide, lock, or unlock files.
4
Save your file. Choose it from the list of records. Then, shift the pointer to the right toolbar and select one of the several exporting methods: save it in multiple formats, download it as a PDF, email it, or save it to the cloud.
It's easier to work with documents with pdfFiller than you can have ever thought. Sign up for a free account to view.
Uncompromising security for your PDF editing and eSignature needs
Your private information is safe with pdfFiller. We employ end-to-end encryption, secure cloud storage, and advanced access control to protect your documents and maintain regulatory compliance.
How to fill out national art education association
How to fill out national art education association
01
Gather all necessary information, such as personal details, educational background, and relevant experiences.
02
Visit the National Art Education Association website.
03
Locate the membership or application section.
04
Complete the online application form with accurate information.
05
Review the form to ensure all fields are filled out correctly.
06
Submit the application and await confirmation of membership.
Who needs national art education association?
01
Art educators looking to network and connect with other professionals in the field.
02
Students studying art education who want access to resources and opportunities.
03
Schools or institutions wanting to support and promote art education in their programs.
Fill
form
: Try Risk Free
For pdfFiller’s FAQs
Below is a list of the most common customer questions. If you can’t find an answer to your question, please don’t hesitate to reach out to us.
How can I edit national art education association from Google Drive?
Using pdfFiller with Google Docs allows you to create, amend, and sign documents straight from your Google Drive. The add-on turns your national art education association into a dynamic fillable form that you can manage and eSign from anywhere.
How can I edit national art education association on a smartphone?
The pdfFiller mobile applications for iOS and Android are the easiest way to edit documents on the go. You may get them from the Apple Store and Google Play. More info about the applications here. Install and log in to edit national art education association.
How do I edit national art education association on an iOS device?
Use the pdfFiller app for iOS to make, edit, and share national art education association from your phone. Apple's store will have it up and running in no time. It's possible to get a free trial and choose a subscription plan that fits your needs.
What is national art education association?
The National Art Education Association (NAEA) is an organization dedicated to advocating for visual arts education.
Who is required to file national art education association?
NAEA membership is open to anyone interested in art education, including teachers, administrators, and students.
How to fill out national art education association?
To become a member of NAEA, one must fill out a membership application on their website.
What is the purpose of national art education association?
The purpose of NAEA is to promote and advance visual arts education through professional development, advocacy, research, and leadership.
What information must be reported on national art education association?
Members of NAEA must report their contact information, professional credentials, and areas of interest within art education.
Fill out your national art education association online with pdfFiller!
pdfFiller is an end-to-end solution for managing, creating, and editing documents and forms in the cloud. Save time and hassle by preparing your tax forms online.
National Art Education Association is not the form you're looking for?Search for another form here.
Relevant keywords
Related Forms
If you believe that this page should be taken down, please follow our DMCA take down process
here
.
This form may include fields for payment information. Data entered in these fields is not covered by PCI DSS compliance.