Get the free Contact UsSpring Lake Township
Show details
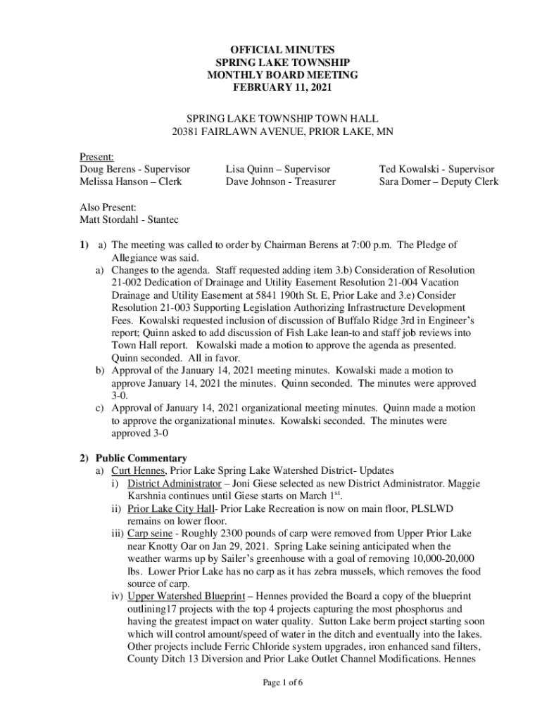
OFFICIAL MINUTES SPRING LAKE TOWNSHIP MONTHLY BOARD MEETING FEBRUARY 11, 2021 SPRING LAKE TOWNSHIP TOWN HALL 20381 FAIRLAWN AVENUE, PRIOR LAKE, MN Present: Doug Berens Supervisor Melissa Hanson ClerkLisa
We are not affiliated with any brand or entity on this form
Get, Create, Make and Sign contact usspring lake township
Edit your contact usspring lake township form online
Type text, complete fillable fields, insert images, highlight or blackout data for discretion, add comments, and more.
Add your legally-binding signature
Draw or type your signature, upload a signature image, or capture it with your digital camera.
Share your form instantly
Email, fax, or share your contact usspring lake township form via URL. You can also download, print, or export forms to your preferred cloud storage service.
Editing contact usspring lake township online
In order to make advantage of the professional PDF editor, follow these steps:
1
Log in to account. Click on Start Free Trial and sign up a profile if you don't have one.
2
Upload a file. Select Add New on your Dashboard and upload a file from your device or import it from the cloud, online, or internal mail. Then click Edit.
3
Edit contact usspring lake township. Rearrange and rotate pages, add and edit text, and use additional tools. To save changes and return to your Dashboard, click Done. The Documents tab allows you to merge, divide, lock, or unlock files.
4
Save your file. Select it from your list of records. Then, move your cursor to the right toolbar and choose one of the exporting options. You can save it in multiple formats, download it as a PDF, send it by email, or store it in the cloud, among other things.
Dealing with documents is always simple with pdfFiller. Try it right now
Uncompromising security for your PDF editing and eSignature needs
Your private information is safe with pdfFiller. We employ end-to-end encryption, secure cloud storage, and advanced access control to protect your documents and maintain regulatory compliance.
How to fill out contact usspring lake township
How to fill out contact usspring lake township
01
Visit the Spring Lake Township website.
02
Locate the 'Contact Us' section on the website.
03
Fill out the required fields, such as name, email, and message.
04
Click submit to send your message to Spring Lake Township.
Who needs contact usspring lake township?
01
Anyone who has questions or concerns for Spring Lake Township.
02
Individuals who need to report an issue or request information from the township.
Fill
form
: Try Risk Free
For pdfFiller’s FAQs
Below is a list of the most common customer questions. If you can’t find an answer to your question, please don’t hesitate to reach out to us.
How can I get contact usspring lake township?
The premium version of pdfFiller gives you access to a huge library of fillable forms (more than 25 million fillable templates). You can download, fill out, print, and sign them all. State-specific contact usspring lake township and other forms will be easy to find in the library. Find the template you need and use advanced editing tools to make it your own.
Can I sign the contact usspring lake township electronically in Chrome?
Yes. By adding the solution to your Chrome browser, you may use pdfFiller to eSign documents while also enjoying all of the PDF editor's capabilities in one spot. Create a legally enforceable eSignature by sketching, typing, or uploading a photo of your handwritten signature using the extension. Whatever option you select, you'll be able to eSign your contact usspring lake township in seconds.
How do I complete contact usspring lake township on an iOS device?
Download and install the pdfFiller iOS app. Then, launch the app and log in or create an account to have access to all of the editing tools of the solution. Upload your contact usspring lake township from your device or cloud storage to open it, or input the document URL. After filling out all of the essential areas in the document and eSigning it (if necessary), you may save it or share it with others.
What is contact usspring lake township?
Contact usspring lake township is a way to get in touch with the local government officials in Spring Lake Township.
Who is required to file contact usspring lake township?
Anyone who owns property or conducts business in Spring Lake Township may be required to file contact usspring lake township.
How to fill out contact usspring lake township?
Contact usspring lake township can be filled out online, by mail, or in person at the township office. The form typically requires information about the property or business owner and the type of contact being made.
What is the purpose of contact usspring lake township?
The purpose of contact usspring lake township is to maintain accurate records of property ownership and business activity within the township.
What information must be reported on contact usspring lake township?
Contact usspring lake township typically requires information such as the property owner's name, address, and contact information, as well as details about the property or business being reported.
Fill out your contact usspring lake township online with pdfFiller!
pdfFiller is an end-to-end solution for managing, creating, and editing documents and forms in the cloud. Save time and hassle by preparing your tax forms online.
Contact Usspring Lake Township is not the form you're looking for?Search for another form here.
Relevant keywords
Related Forms
If you believe that this page should be taken down, please follow our DMCA take down process
here
.
This form may include fields for payment information. Data entered in these fields is not covered by PCI DSS compliance.