
Get the free MEMORANDUM OF UNDERSTANDING BETWEEN ASU ...
Show details
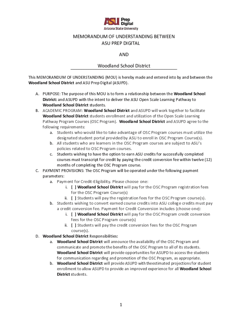
MEMORANDUM OF UNDERSTANDING BETWEEN ASU PREP DIGITAL AND Woodland School District This MEMORANDUM OF UNDERSTANDING (YOU) is hereby made and entered into by and between the Woodland School District
We are not affiliated with any brand or entity on this form
Get, Create, Make and Sign memorandum of understanding between

Edit your memorandum of understanding between form online
Type text, complete fillable fields, insert images, highlight or blackout data for discretion, add comments, and more.

Add your legally-binding signature
Draw or type your signature, upload a signature image, or capture it with your digital camera.

Share your form instantly
Email, fax, or share your memorandum of understanding between form via URL. You can also download, print, or export forms to your preferred cloud storage service.
Editing memorandum of understanding between online
Follow the guidelines below to use a professional PDF editor:
1
Check your account. If you don't have a profile yet, click Start Free Trial and sign up for one.
2
Prepare a file. Use the Add New button to start a new project. Then, using your device, upload your file to the system by importing it from internal mail, the cloud, or adding its URL.
3
Edit memorandum of understanding between. Add and change text, add new objects, move pages, add watermarks and page numbers, and more. Then click Done when you're done editing and go to the Documents tab to merge or split the file. If you want to lock or unlock the file, click the lock or unlock button.
4
Get your file. When you find your file in the docs list, click on its name and choose how you want to save it. To get the PDF, you can save it, send an email with it, or move it to the cloud.
It's easier to work with documents with pdfFiller than you could have believed. You may try it out for yourself by signing up for an account.
Uncompromising security for your PDF editing and eSignature needs
Your private information is safe with pdfFiller. We employ end-to-end encryption, secure cloud storage, and advanced access control to protect your documents and maintain regulatory compliance.
How to fill out memorandum of understanding between

How to fill out memorandum of understanding between
01
Start by clearly defining the parties involved in the memorandum of understanding.
02
Specify the purpose and scope of the agreement.
03
Detail the terms and conditions that both parties agree to adhere to.
04
Include any pertinent financial details or responsibilities.
05
Outline the timeline or duration of the agreement.
06
Consider adding any clauses that address potential disputes or termination procedures.
07
Have both parties review and sign the memorandum of understanding.
Who needs memorandum of understanding between?
01
Businesses entering into a partnership or collaboration.
02
Nonprofit organizations working together on a project.
03
Government agencies forming a joint initiative.
04
Educational institutions establishing a research partnership.
Fill
form
: Try Risk Free
For pdfFiller’s FAQs
Below is a list of the most common customer questions. If you can’t find an answer to your question, please don’t hesitate to reach out to us.
Where do I find memorandum of understanding between?
It’s easy with pdfFiller, a comprehensive online solution for professional document management. Access our extensive library of online forms (over 25M fillable forms are available) and locate the memorandum of understanding between in a matter of seconds. Open it right away and start customizing it using advanced editing features.
How do I execute memorandum of understanding between online?
pdfFiller has made filling out and eSigning memorandum of understanding between easy. The solution is equipped with a set of features that enable you to edit and rearrange PDF content, add fillable fields, and eSign the document. Start a free trial to explore all the capabilities of pdfFiller, the ultimate document editing solution.
How do I fill out memorandum of understanding between using my mobile device?
You can easily create and fill out legal forms with the help of the pdfFiller mobile app. Complete and sign memorandum of understanding between and other documents on your mobile device using the application. Visit pdfFiller’s webpage to learn more about the functionalities of the PDF editor.
What is memorandum of understanding between?
The memorandum of understanding is an agreement between two or more parties outlining the terms and details of their cooperation.
Who is required to file memorandum of understanding between?
Any entities or individuals involved in a collaborative effort or partnership may be required to file a memorandum of understanding.
How to fill out memorandum of understanding between?
To fill out a memorandum of understanding, parties involved must clearly outline the purpose, scope, responsibilities, and terms of cooperation in the agreement.
What is the purpose of memorandum of understanding between?
The purpose of a memorandum of understanding is to establish a framework for collaboration, outline mutual commitments, and clarify expectations between parties.
What information must be reported on memorandum of understanding between?
The memorandum of understanding should include details such as the names of the parties involved, the purpose of the agreement, scope of cooperation, responsibilities of each party, and any other pertinent terms.
Fill out your memorandum of understanding between online with pdfFiller!
pdfFiller is an end-to-end solution for managing, creating, and editing documents and forms in the cloud. Save time and hassle by preparing your tax forms online.

Memorandum Of Understanding Between is not the form you're looking for?Search for another form here.
Relevant keywords
Related Forms
If you believe that this page should be taken down, please follow our DMCA take down process
here
.
This form may include fields for payment information. Data entered in these fields is not covered by PCI DSS compliance.