
Get the free application for interdisciplinary (id) designation - faculty fairfield
Show details
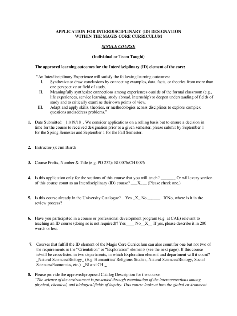
APPLICATION FOR INTERDISCIPLINARY (ID) DESIGNATION WITHIN THE MAGIS CORE CURRICULUM SINGLE COURSE (Individual or Team Taught) The approved learning outcomes for the Interdisciplinary (ID) element
We are not affiliated with any brand or entity on this form
Get, Create, Make and Sign application for interdisciplinary id

Edit your application for interdisciplinary id form online
Type text, complete fillable fields, insert images, highlight or blackout data for discretion, add comments, and more.

Add your legally-binding signature
Draw or type your signature, upload a signature image, or capture it with your digital camera.

Share your form instantly
Email, fax, or share your application for interdisciplinary id form via URL. You can also download, print, or export forms to your preferred cloud storage service.
Editing application for interdisciplinary id online
Here are the steps you need to follow to get started with our professional PDF editor:
1
Register the account. Begin by clicking Start Free Trial and create a profile if you are a new user.
2
Simply add a document. Select Add New from your Dashboard and import a file into the system by uploading it from your device or importing it via the cloud, online, or internal mail. Then click Begin editing.
3
Edit application for interdisciplinary id. Rearrange and rotate pages, insert new and alter existing texts, add new objects, and take advantage of other helpful tools. Click Done to apply changes and return to your Dashboard. Go to the Documents tab to access merging, splitting, locking, or unlocking functions.
4
Save your file. Select it from your records list. Then, click the right toolbar and select one of the various exporting options: save in numerous formats, download as PDF, email, or cloud.
pdfFiller makes working with documents easier than you could ever imagine. Register for an account and see for yourself!
Uncompromising security for your PDF editing and eSignature needs
Your private information is safe with pdfFiller. We employ end-to-end encryption, secure cloud storage, and advanced access control to protect your documents and maintain regulatory compliance.
How to fill out application for interdisciplinary id

How to fill out application for interdisciplinary id
01
Obtain the application form for interdisciplinary id from the designated office or website.
02
Fill out all the required personal details accurately.
03
Provide information about your academic background and relevant experience.
04
Include any supporting documents or certifications that are needed.
05
Review the application form to ensure all information is complete and correct.
06
Submit the completed application form along with any required fees or supporting documents.
Who needs application for interdisciplinary id?
01
Individuals who are looking to pursue interdisciplinary studies or research programs.
02
Students who wish to combine different academic disciplines for a holistic approach to their education.
03
Professionals seeking to expand their knowledge in multiple fields or industries.
Fill
form
: Try Risk Free
For pdfFiller’s FAQs
Below is a list of the most common customer questions. If you can’t find an answer to your question, please don’t hesitate to reach out to us.
How do I make edits in application for interdisciplinary id without leaving Chrome?
Add pdfFiller Google Chrome Extension to your web browser to start editing application for interdisciplinary id and other documents directly from a Google search page. The service allows you to make changes in your documents when viewing them in Chrome. Create fillable documents and edit existing PDFs from any internet-connected device with pdfFiller.
Can I create an eSignature for the application for interdisciplinary id in Gmail?
You may quickly make your eSignature using pdfFiller and then eSign your application for interdisciplinary id right from your mailbox using pdfFiller's Gmail add-on. Please keep in mind that in order to preserve your signatures and signed papers, you must first create an account.
How do I fill out the application for interdisciplinary id form on my smartphone?
You can quickly make and fill out legal forms with the help of the pdfFiller app on your phone. Complete and sign application for interdisciplinary id and other documents on your mobile device using the application. If you want to learn more about how the PDF editor works, go to pdfFiller.com.
What is application for interdisciplinary id?
The application for interdisciplinary ID is a formal request made to obtain a unique identification that facilitates collaboration and integration between different academic disciplines or fields of study.
Who is required to file application for interdisciplinary id?
Individuals or organizations involved in interdisciplinary research or projects are typically required to file the application for interdisciplinary ID.
How to fill out application for interdisciplinary id?
To fill out the application for interdisciplinary ID, you need to provide relevant personal or organizational information, specify the disciplines involved, and outline the purpose of the interdisciplinary work.
What is the purpose of application for interdisciplinary id?
The purpose of the application for interdisciplinary ID is to streamline the process of collaboration across disciplines, ensuring that all involved parties are recognized and can effectively contribute to the project.
What information must be reported on application for interdisciplinary id?
The application must report the names of the involved disciplines, contact information, project description, and any relevant qualifications or background of the applicants.
Fill out your application for interdisciplinary id online with pdfFiller!
pdfFiller is an end-to-end solution for managing, creating, and editing documents and forms in the cloud. Save time and hassle by preparing your tax forms online.

Application For Interdisciplinary Id is not the form you're looking for?Search for another form here.
Relevant keywords
Related Forms
If you believe that this page should be taken down, please follow our DMCA take down process
here
.
This form may include fields for payment information. Data entered in these fields is not covered by PCI DSS compliance.