Get the free I cannot store data in a file; instead it stores in binary form
Show details
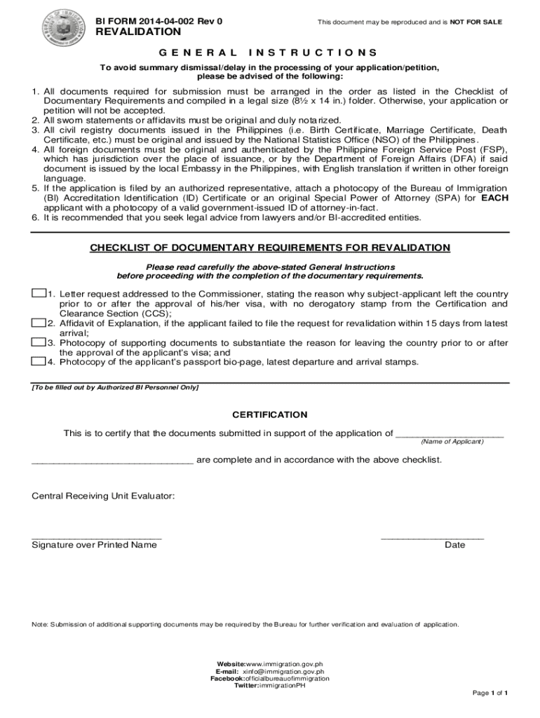
BI FORM 201404002 Rev 0This document may be reproduced and is NOT FOR SALEREVALIDATION G E N E R ALI N S T R U CT I O NATO avoid summary dismissal/delay in the processing of your application/petition,
We are not affiliated with any brand or entity on this form
Get, Create, Make and Sign i cannot store data
Edit your i cannot store data form online
Type text, complete fillable fields, insert images, highlight or blackout data for discretion, add comments, and more.
Add your legally-binding signature
Draw or type your signature, upload a signature image, or capture it with your digital camera.
Share your form instantly
Email, fax, or share your i cannot store data form via URL. You can also download, print, or export forms to your preferred cloud storage service.
Editing i cannot store data online
To use our professional PDF editor, follow these steps:
1
Log in to your account. Start Free Trial and register a profile if you don't have one yet.
2
Prepare a file. Use the Add New button to start a new project. Then, using your device, upload your file to the system by importing it from internal mail, the cloud, or adding its URL.
3
Edit i cannot store data. Text may be added and replaced, new objects can be included, pages can be rearranged, watermarks and page numbers can be added, and so on. When you're done editing, click Done and then go to the Documents tab to combine, divide, lock, or unlock the file.
4
Save your file. Choose it from the list of records. Then, shift the pointer to the right toolbar and select one of the several exporting methods: save it in multiple formats, download it as a PDF, email it, or save it to the cloud.
pdfFiller makes dealing with documents a breeze. Create an account to find out!
Uncompromising security for your PDF editing and eSignature needs
Your private information is safe with pdfFiller. We employ end-to-end encryption, secure cloud storage, and advanced access control to protect your documents and maintain regulatory compliance.
How to fill out i cannot store data
How to fill out i cannot store data
01
Identify the reason why you cannot store data, is it due to technical issues or lack of resources?
02
Try troubleshooting the issue by checking if the storage device is connected properly and has enough space.
03
If the problem persists, seek help from IT support or consult online resources for solutions.
04
Consider transferring the data to a different storage device or cloud storage as a temporary solution.
Who needs i cannot store data?
01
Anyone who is facing difficulties in storing data on their device or system.
Fill
form
: Try Risk Free
For pdfFiller’s FAQs
Below is a list of the most common customer questions. If you can’t find an answer to your question, please don’t hesitate to reach out to us.
How can I manage my i cannot store data directly from Gmail?
pdfFiller’s add-on for Gmail enables you to create, edit, fill out and eSign your i cannot store data and any other documents you receive right in your inbox. Visit Google Workspace Marketplace and install pdfFiller for Gmail. Get rid of time-consuming steps and manage your documents and eSignatures effortlessly.
How do I fill out i cannot store data using my mobile device?
The pdfFiller mobile app makes it simple to design and fill out legal paperwork. Complete and sign i cannot store data and other papers using the app. Visit pdfFiller's website to learn more about the PDF editor's features.
How do I edit i cannot store data on an Android device?
With the pdfFiller Android app, you can edit, sign, and share i cannot store data on your mobile device from any place. All you need is an internet connection to do this. Keep your documents in order from anywhere with the help of the app!
What is i cannot store data?
i cannot store data is a type of form or document that needs to be filled out to report specific information.
Who is required to file i cannot store data?
Individuals or entities who have data that cannot be stored are required to file i cannot store data.
How to fill out i cannot store data?
To fill out i cannot store data, you need to provide the necessary information in the designated sections of the form.
What is the purpose of i cannot store data?
The purpose of i cannot store data is to ensure that information about data that cannot be stored is properly reported and documented.
What information must be reported on i cannot store data?
Information such as the type of data that cannot be stored, the reason why it cannot be stored, and any relevant details must be reported on i cannot store data.
Fill out your i cannot store data online with pdfFiller!
pdfFiller is an end-to-end solution for managing, creating, and editing documents and forms in the cloud. Save time and hassle by preparing your tax forms online.
I Cannot Store Data is not the form you're looking for?Search for another form here.
Relevant keywords
Related Forms
If you believe that this page should be taken down, please follow our DMCA take down process
here
.
This form may include fields for payment information. Data entered in these fields is not covered by PCI DSS compliance.