
Get the free Dual Residency Checklist
Show details
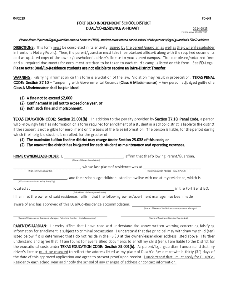
Dual/Residence Check List 20242025 Parent/Legal Guardian of the child and the host FB ISD resident must sign Dual/Residence Affidavit together, in front of a Notary Public then present Notarized affidavit
We are not affiliated with any brand or entity on this form
Get, Create, Make and Sign dual residency checklist

Edit your dual residency checklist form online
Type text, complete fillable fields, insert images, highlight or blackout data for discretion, add comments, and more.

Add your legally-binding signature
Draw or type your signature, upload a signature image, or capture it with your digital camera.

Share your form instantly
Email, fax, or share your dual residency checklist form via URL. You can also download, print, or export forms to your preferred cloud storage service.
Editing dual residency checklist online
Here are the steps you need to follow to get started with our professional PDF editor:
1
Log in to account. Click on Start Free Trial and sign up a profile if you don't have one yet.
2
Upload a document. Select Add New on your Dashboard and transfer a file into the system in one of the following ways: by uploading it from your device or importing from the cloud, web, or internal mail. Then, click Start editing.
3
Edit dual residency checklist. Replace text, adding objects, rearranging pages, and more. Then select the Documents tab to combine, divide, lock or unlock the file.
4
Get your file. Select your file from the documents list and pick your export method. You may save it as a PDF, email it, or upload it to the cloud.
With pdfFiller, it's always easy to work with documents.
Uncompromising security for your PDF editing and eSignature needs
Your private information is safe with pdfFiller. We employ end-to-end encryption, secure cloud storage, and advanced access control to protect your documents and maintain regulatory compliance.
How to fill out dual residency checklist

How to fill out dual residency checklist
01
Obtain the dual residency checklist form from the appropriate authorities.
02
Fill out the personal information section with your full name, address, and contact information.
03
Provide details about your current residency status and the reason for seeking dual residency.
04
Attach any required documents such as proof of residency in both locations.
05
Review the checklist to ensure all sections are completed accurately and legibly.
06
Submit the completed checklist form to the designated office or department for processing.
Who needs dual residency checklist?
01
Individuals who wish to establish legal residency in two different locations simultaneously.
02
Students studying abroad who need to maintain residency in their home country.
03
Employees who work in multiple states or countries and need to prove residency for tax or legal purposes.
Fill
form
: Try Risk Free
For pdfFiller’s FAQs
Below is a list of the most common customer questions. If you can’t find an answer to your question, please don’t hesitate to reach out to us.
How do I execute dual residency checklist online?
pdfFiller has made filling out and eSigning dual residency checklist easy. The solution is equipped with a set of features that enable you to edit and rearrange PDF content, add fillable fields, and eSign the document. Start a free trial to explore all the capabilities of pdfFiller, the ultimate document editing solution.
Can I create an electronic signature for the dual residency checklist in Chrome?
Yes. With pdfFiller for Chrome, you can eSign documents and utilize the PDF editor all in one spot. Create a legally enforceable eSignature by sketching, typing, or uploading a handwritten signature image. You may eSign your dual residency checklist in seconds.
Can I create an electronic signature for signing my dual residency checklist in Gmail?
When you use pdfFiller's add-on for Gmail, you can add or type a signature. You can also draw a signature. pdfFiller lets you eSign your dual residency checklist and other documents right from your email. In order to keep signed documents and your own signatures, you need to sign up for an account.
What is dual residency checklist?
A dual residency checklist is a form used to determine if an individual meets the requirements to be considered a resident of more than one state for tax purposes.
Who is required to file dual residency checklist?
Individuals who have lived in more than one state during the tax year or have income sources in multiple states may be required to file a dual residency checklist.
How to fill out dual residency checklist?
The dual residency checklist can typically be filled out by providing information about the time spent in each state, sources of income, and other relevant information about residency status.
What is the purpose of dual residency checklist?
The purpose of the dual residency checklist is to help determine which state an individual should be considered a resident of for tax purposes, and to avoid being double-taxed on income.
What information must be reported on dual residency checklist?
Information such as time spent in each state, sources of income, and any other factors that may impact residency status must be reported on the dual residency checklist.
Fill out your dual residency checklist online with pdfFiller!
pdfFiller is an end-to-end solution for managing, creating, and editing documents and forms in the cloud. Save time and hassle by preparing your tax forms online.

Dual Residency Checklist is not the form you're looking for?Search for another form here.
Relevant keywords
Related Forms
If you believe that this page should be taken down, please follow our DMCA take down process
here
.
This form may include fields for payment information. Data entered in these fields is not covered by PCI DSS compliance.