
Get the free New Mexico Taxation and Revenue urges taxpayer caution
Show details
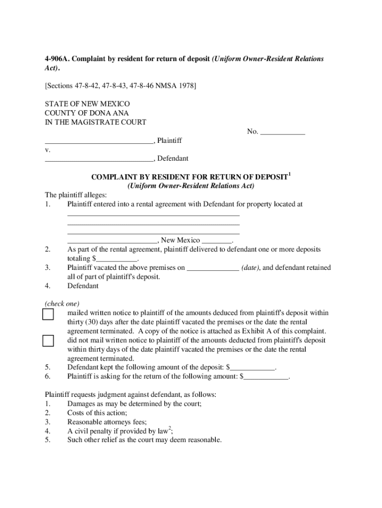
4906A. Complaint by resident for return of deposit (Uniform OwnerResident Relations Act). [Sections 47842, 47843, 47846 NMSA 1978] STATE OF NEW MEXICO COUNTY OF DONA ANA IN THE MAGISTRATE COURT No.
We are not affiliated with any brand or entity on this form
Get, Create, Make and Sign new mexico taxation and

Edit your new mexico taxation and form online
Type text, complete fillable fields, insert images, highlight or blackout data for discretion, add comments, and more.

Add your legally-binding signature
Draw or type your signature, upload a signature image, or capture it with your digital camera.

Share your form instantly
Email, fax, or share your new mexico taxation and form via URL. You can also download, print, or export forms to your preferred cloud storage service.
Editing new mexico taxation and online
To use our professional PDF editor, follow these steps:
1
Create an account. Begin by choosing Start Free Trial and, if you are a new user, establish a profile.
2
Upload a file. Select Add New on your Dashboard and upload a file from your device or import it from the cloud, online, or internal mail. Then click Edit.
3
Edit new mexico taxation and. Add and change text, add new objects, move pages, add watermarks and page numbers, and more. Then click Done when you're done editing and go to the Documents tab to merge or split the file. If you want to lock or unlock the file, click the lock or unlock button.
4
Get your file. When you find your file in the docs list, click on its name and choose how you want to save it. To get the PDF, you can save it, send an email with it, or move it to the cloud.
Dealing with documents is always simple with pdfFiller.
Uncompromising security for your PDF editing and eSignature needs
Your private information is safe with pdfFiller. We employ end-to-end encryption, secure cloud storage, and advanced access control to protect your documents and maintain regulatory compliance.
How to fill out new mexico taxation and

How to fill out new mexico taxation and
01
Gather all necessary documents such as a W-2 form, 1099 forms, and any other relevant tax documents.
02
Download the appropriate tax forms from the New Mexico Taxation and Revenue Department website.
03
Fill out the tax forms accurately and completely, ensuring all information is correct.
04
Double-check all calculations and information before submitting the forms.
05
Submit the completed tax forms either online or by mail, making sure to meet all deadlines.
Who needs new mexico taxation and?
01
Individuals who earn income in New Mexico
02
Businesses operating in New Mexico
03
Non-profit organizations in New Mexico
Fill
form
: Try Risk Free
For pdfFiller’s FAQs
Below is a list of the most common customer questions. If you can’t find an answer to your question, please don’t hesitate to reach out to us.
How do I make changes in new mexico taxation and?
The editing procedure is simple with pdfFiller. Open your new mexico taxation and in the editor, which is quite user-friendly. You may use it to blackout, redact, write, and erase text, add photos, draw arrows and lines, set sticky notes and text boxes, and much more.
Can I sign the new mexico taxation and electronically in Chrome?
Yes. You can use pdfFiller to sign documents and use all of the features of the PDF editor in one place if you add this solution to Chrome. In order to use the extension, you can draw or write an electronic signature. You can also upload a picture of your handwritten signature. There is no need to worry about how long it takes to sign your new mexico taxation and.
How do I edit new mexico taxation and straight from my smartphone?
The easiest way to edit documents on a mobile device is using pdfFiller’s mobile-native apps for iOS and Android. You can download those from the Apple Store and Google Play, respectively. You can learn more about the apps here. Install and log in to the application to start editing new mexico taxation and.
What is new mexico taxation and?
New Mexico taxation and refers to the process of reporting and paying taxes to the state of New Mexico.
Who is required to file new mexico taxation and?
Individuals, businesses, and other entities that earn income in New Mexico are required to file New Mexico taxation and.
How to fill out new mexico taxation and?
To fill out New Mexico taxation and, individuals and businesses must gather all income and expense information, complete the appropriate forms, and submit them to the New Mexico Taxation and Revenue Department.
What is the purpose of new mexico taxation and?
The purpose of New Mexico taxation and is to fund government services and programs, such as education, infrastructure, and public safety.
What information must be reported on new mexico taxation and?
Information such as income, deductions, credits, and any other relevant financial information must be reported on New Mexico taxation and.
Fill out your new mexico taxation and online with pdfFiller!
pdfFiller is an end-to-end solution for managing, creating, and editing documents and forms in the cloud. Save time and hassle by preparing your tax forms online.

New Mexico Taxation And is not the form you're looking for?Search for another form here.
Relevant keywords
Related Forms
If you believe that this page should be taken down, please follow our DMCA take down process
here
.
This form may include fields for payment information. Data entered in these fields is not covered by PCI DSS compliance.