
Get the free L.G. Hanscom Field (KBED) Fact Sheet Details
Show details
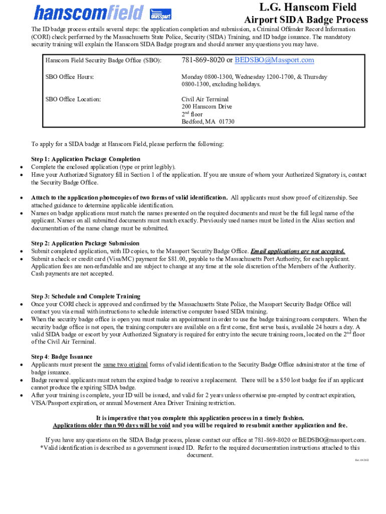
L.G. Hanscom FieldAirport SIDA Badge ProcessThe ID badge process entails several steps: the application completion and submission, a Criminal Offender Record Information (CORI) check performed by
We are not affiliated with any brand or entity on this form
Get, Create, Make and Sign lg hanscom field kbed

Edit your lg hanscom field kbed form online
Type text, complete fillable fields, insert images, highlight or blackout data for discretion, add comments, and more.

Add your legally-binding signature
Draw or type your signature, upload a signature image, or capture it with your digital camera.

Share your form instantly
Email, fax, or share your lg hanscom field kbed form via URL. You can also download, print, or export forms to your preferred cloud storage service.
How to edit lg hanscom field kbed online
To use the services of a skilled PDF editor, follow these steps:
1
Check your account. If you don't have a profile yet, click Start Free Trial and sign up for one.
2
Simply add a document. Select Add New from your Dashboard and import a file into the system by uploading it from your device or importing it via the cloud, online, or internal mail. Then click Begin editing.
3
Edit lg hanscom field kbed. Rearrange and rotate pages, add new and changed texts, add new objects, and use other useful tools. When you're done, click Done. You can use the Documents tab to merge, split, lock, or unlock your files.
4
Save your file. Select it from your list of records. Then, move your cursor to the right toolbar and choose one of the exporting options. You can save it in multiple formats, download it as a PDF, send it by email, or store it in the cloud, among other things.
Dealing with documents is always simple with pdfFiller.
Uncompromising security for your PDF editing and eSignature needs
Your private information is safe with pdfFiller. We employ end-to-end encryption, secure cloud storage, and advanced access control to protect your documents and maintain regulatory compliance.
How to fill out lg hanscom field kbed

How to fill out lg hanscom field kbed
01
Obtain access permission to LG Hanscom Field KBED.
02
Gather all required information such as aircraft details, flight plan, and passenger information.
03
Fill out the necessary forms and documents with accurate information.
04
Submit the completed forms to the appropriate department or authority for approval.
Who needs lg hanscom field kbed?
01
Pilots and operators who intend to use LG Hanscom Field KBED for takeoff or landing purposes.
Fill
form
: Try Risk Free
For pdfFiller’s FAQs
Below is a list of the most common customer questions. If you can’t find an answer to your question, please don’t hesitate to reach out to us.
How can I edit lg hanscom field kbed from Google Drive?
People who need to keep track of documents and fill out forms quickly can connect PDF Filler to their Google Docs account. This means that they can make, edit, and sign documents right from their Google Drive. Make your lg hanscom field kbed into a fillable form that you can manage and sign from any internet-connected device with this add-on.
How do I edit lg hanscom field kbed on an iOS device?
Yes, you can. With the pdfFiller mobile app, you can instantly edit, share, and sign lg hanscom field kbed on your iOS device. Get it at the Apple Store and install it in seconds. The application is free, but you will have to create an account to purchase a subscription or activate a free trial.
How can I fill out lg hanscom field kbed on an iOS device?
Download and install the pdfFiller iOS app. Then, launch the app and log in or create an account to have access to all of the editing tools of the solution. Upload your lg hanscom field kbed from your device or cloud storage to open it, or input the document URL. After filling out all of the essential areas in the document and eSigning it (if necessary), you may save it or share it with others.
What is lg hanscom field kbed?
LG Hanscom Field KBED is an airport located in Bedford, Massachusetts.
Who is required to file lg hanscom field kbed?
All aircraft owners and operators utilizing LG Hanscom Field KBED are required to file the relevant forms.
How to fill out lg hanscom field kbed?
To fill out LG Hanscom Field KBED, you must provide information about the aircraft, flight details, and relevant contact information.
What is the purpose of lg hanscom field kbed?
The purpose of LG Hanscom Field KBED is to track and regulate aircraft operations at the airport.
What information must be reported on lg hanscom field kbed?
Information such as aircraft registration, pilot details, flight origin and destination, and purpose of flight must be reported on LG Hanscom Field KBED.
Fill out your lg hanscom field kbed online with pdfFiller!
pdfFiller is an end-to-end solution for managing, creating, and editing documents and forms in the cloud. Save time and hassle by preparing your tax forms online.

Lg Hanscom Field Kbed is not the form you're looking for?Search for another form here.
Relevant keywords
Related Forms
If you believe that this page should be taken down, please follow our DMCA take down process
here
.
This form may include fields for payment information. Data entered in these fields is not covered by PCI DSS compliance.