
Get the free Ohio Administrative Code - Rule 109:2-1-12 Certification ...
Show details
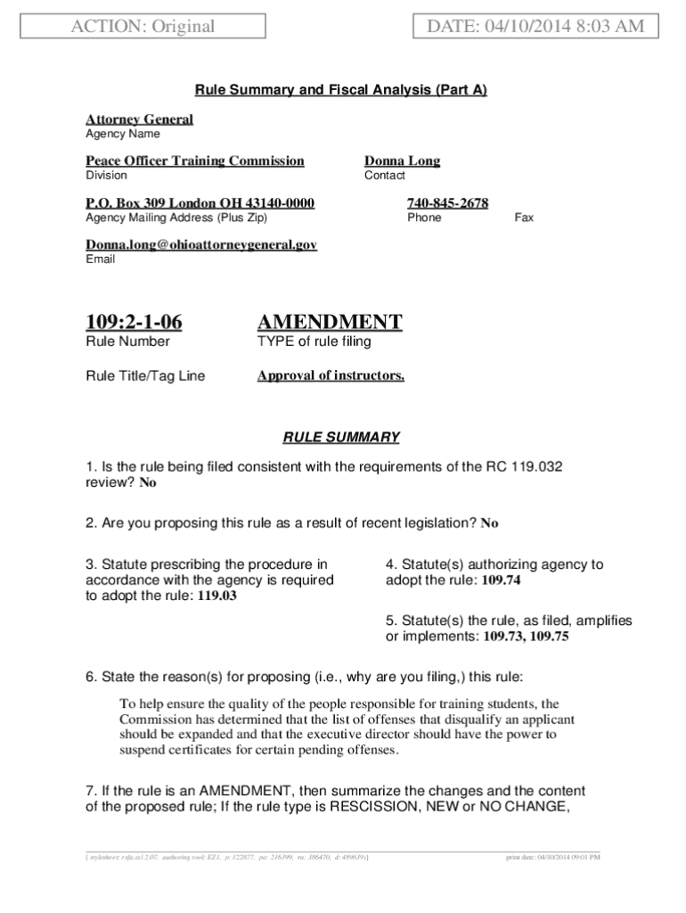
ACTION: Originate: 04/10/2014 8:03 Ampule Summary and Fiscal Analysis (Part A) Attorney General Agency Name Peace Officer Training Commission Donna LongDivisionContactP. O. Box 309 London OH 4314000007408452678Agency
We are not affiliated with any brand or entity on this form
Get, Create, Make and Sign ohio administrative code

Edit your ohio administrative code form online
Type text, complete fillable fields, insert images, highlight or blackout data for discretion, add comments, and more.

Add your legally-binding signature
Draw or type your signature, upload a signature image, or capture it with your digital camera.

Share your form instantly
Email, fax, or share your ohio administrative code form via URL. You can also download, print, or export forms to your preferred cloud storage service.
Editing ohio administrative code online
Follow the steps down below to benefit from a competent PDF editor:
1
Log in to your account. Click Start Free Trial and register a profile if you don't have one yet.
2
Prepare a file. Use the Add New button to start a new project. Then, using your device, upload your file to the system by importing it from internal mail, the cloud, or adding its URL.
3
Edit ohio administrative code. Rearrange and rotate pages, insert new and alter existing texts, add new objects, and take advantage of other helpful tools. Click Done to apply changes and return to your Dashboard. Go to the Documents tab to access merging, splitting, locking, or unlocking functions.
4
Get your file. Select your file from the documents list and pick your export method. You may save it as a PDF, email it, or upload it to the cloud.
With pdfFiller, it's always easy to deal with documents.
Uncompromising security for your PDF editing and eSignature needs
Your private information is safe with pdfFiller. We employ end-to-end encryption, secure cloud storage, and advanced access control to protect your documents and maintain regulatory compliance.
How to fill out ohio administrative code

How to fill out ohio administrative code
01
Access the Ohio Administrative Code online or obtain a physical copy from a library or bookstore.
02
Identify the specific section or rule you need to fill out.
03
Read the instructions provided for that section or rule carefully.
04
Fill out the necessary fields or information as required by the section or rule.
05
Double-check your work to ensure accuracy and completeness.
06
Submit the filled out form or document as directed by the Ohio Administrative Code.
Who needs ohio administrative code?
01
Government officials and employees who need to comply with regulations and procedures in Ohio.
02
Legal professionals who need to reference and interpret laws and rules in Ohio.
03
Business owners and organizations operating in Ohio who need to adhere to state regulations.
04
Individuals seeking information or guidance on specific legal matters in Ohio.
Fill
form
: Try Risk Free
For pdfFiller’s FAQs
Below is a list of the most common customer questions. If you can’t find an answer to your question, please don’t hesitate to reach out to us.
How can I modify ohio administrative code without leaving Google Drive?
It is possible to significantly enhance your document management and form preparation by combining pdfFiller with Google Docs. This will allow you to generate papers, amend them, and sign them straight from your Google Drive. Use the add-on to convert your ohio administrative code into a dynamic fillable form that can be managed and signed using any internet-connected device.
How can I send ohio administrative code for eSignature?
When you're ready to share your ohio administrative code, you can swiftly email it to others and receive the eSigned document back. You may send your PDF through email, fax, text message, or USPS mail, or you can notarize it online. All of this may be done without ever leaving your account.
Where do I find ohio administrative code?
With pdfFiller, an all-in-one online tool for professional document management, it's easy to fill out documents. Over 25 million fillable forms are available on our website, and you can find the ohio administrative code in a matter of seconds. Open it right away and start making it your own with help from advanced editing tools.
What is ohio administrative code?
The Ohio Administrative Code is a compilation of rules and regulations created by state agencies in Ohio.
Who is required to file ohio administrative code?
Certain businesses and individuals in Ohio may be required to file the Ohio Administrative Code based on their activities.
How to fill out ohio administrative code?
Ohio Administrative Code can be filled out electronically through the designated online portal provided by the state.
What is the purpose of ohio administrative code?
The purpose of Ohio Administrative Code is to provide a comprehensive set of rules and regulations to govern various activities and industries in the state.
What information must be reported on ohio administrative code?
The information required to be reported on the Ohio Administrative Code may vary depending on the specific rule or regulation being followed.
Fill out your ohio administrative code online with pdfFiller!
pdfFiller is an end-to-end solution for managing, creating, and editing documents and forms in the cloud. Save time and hassle by preparing your tax forms online.

Ohio Administrative Code is not the form you're looking for?Search for another form here.
Relevant keywords
Related Forms
If you believe that this page should be taken down, please follow our DMCA take down process
here
.
This form may include fields for payment information. Data entered in these fields is not covered by PCI DSS compliance.