Get the free wahoo airport authority annual t-hangar lease2024
Show details
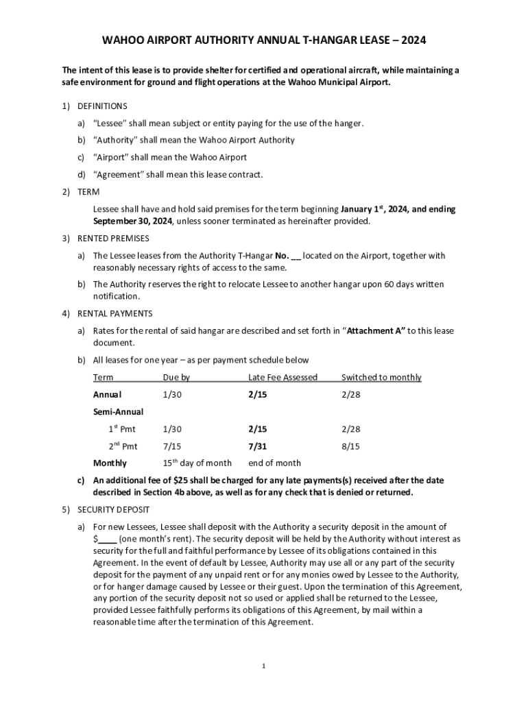
YAHOO AIRPORT AUTHORITY ANNUAL HANGAR LEASE 2024 The intent of this lease is to provide shelter for certified and operational aircraft, while maintaining a safe environment for ground and flight operations
We are not affiliated with any brand or entity on this form
Get, Create, Make and Sign wahoo airport authority annual
Edit your wahoo airport authority annual form online
Type text, complete fillable fields, insert images, highlight or blackout data for discretion, add comments, and more.
Add your legally-binding signature
Draw or type your signature, upload a signature image, or capture it with your digital camera.
Share your form instantly
Email, fax, or share your wahoo airport authority annual form via URL. You can also download, print, or export forms to your preferred cloud storage service.
Editing wahoo airport authority annual online
Here are the steps you need to follow to get started with our professional PDF editor:
1
Log in to account. Start Free Trial and sign up a profile if you don't have one.
2
Prepare a file. Use the Add New button. Then upload your file to the system from your device, importing it from internal mail, the cloud, or by adding its URL.
3
Edit wahoo airport authority annual. Rearrange and rotate pages, add and edit text, and use additional tools. To save changes and return to your Dashboard, click Done. The Documents tab allows you to merge, divide, lock, or unlock files.
4
Save your file. Choose it from the list of records. Then, shift the pointer to the right toolbar and select one of the several exporting methods: save it in multiple formats, download it as a PDF, email it, or save it to the cloud.
Uncompromising security for your PDF editing and eSignature needs
Your private information is safe with pdfFiller. We employ end-to-end encryption, secure cloud storage, and advanced access control to protect your documents and maintain regulatory compliance.
How to fill out wahoo airport authority annual
How to fill out wahoo airport authority annual
01
Obtain the Wahoo Airport Authority Annual form from the designated office or website.
02
Read the instructions carefully before filling out the form.
03
Provide accurate and up-to-date information in all the required fields.
04
Submit the completed form along with any necessary documentation to the appropriate authority by the specified deadline.
Who needs wahoo airport authority annual?
01
Pilots and aviation companies operating within the Wahoo Airport authority jurisdiction.
Fill
form
: Try Risk Free
For pdfFiller’s FAQs
Below is a list of the most common customer questions. If you can’t find an answer to your question, please don’t hesitate to reach out to us.
How do I make edits in wahoo airport authority annual without leaving Chrome?
Get and add pdfFiller Google Chrome Extension to your browser to edit, fill out and eSign your wahoo airport authority annual, which you can open in the editor directly from a Google search page in just one click. Execute your fillable documents from any internet-connected device without leaving Chrome.
How can I edit wahoo airport authority annual on a smartphone?
The easiest way to edit documents on a mobile device is using pdfFiller’s mobile-native apps for iOS and Android. You can download those from the Apple Store and Google Play, respectively. You can learn more about the apps here. Install and log in to the application to start editing wahoo airport authority annual.
How do I fill out wahoo airport authority annual using my mobile device?
On your mobile device, use the pdfFiller mobile app to complete and sign wahoo airport authority annual. Visit our website (https://edit-pdf-ios-android.pdffiller.com/) to discover more about our mobile applications, the features you'll have access to, and how to get started.
What is wahoo airport authority annual?
The wahoo airport authority annual is an annual report that needs to be filed by the airport authority to document its financial and operational performance.
Who is required to file wahoo airport authority annual?
The airport authority is required to file the wahoo airport authority annual.
How to fill out wahoo airport authority annual?
The wahoo airport authority annual can be filled out by providing detailed financial and operational information about the airport authority.
What is the purpose of wahoo airport authority annual?
The purpose of wahoo airport authority annual is to provide transparency and accountability regarding the airport authority's activities and finances.
What information must be reported on wahoo airport authority annual?
The wahoo airport authority annual must include information on the airport authority's revenue, expenses, assets, and liabilities.
Fill out your wahoo airport authority annual online with pdfFiller!
pdfFiller is an end-to-end solution for managing, creating, and editing documents and forms in the cloud. Save time and hassle by preparing your tax forms online.
Wahoo Airport Authority Annual is not the form you're looking for?Search for another form here.
Relevant keywords
Related Forms
If you believe that this page should be taken down, please follow our DMCA take down process
here
.
This form may include fields for payment information. Data entered in these fields is not covered by PCI DSS compliance.