Get the free Immersion Agreement - York University
Show details
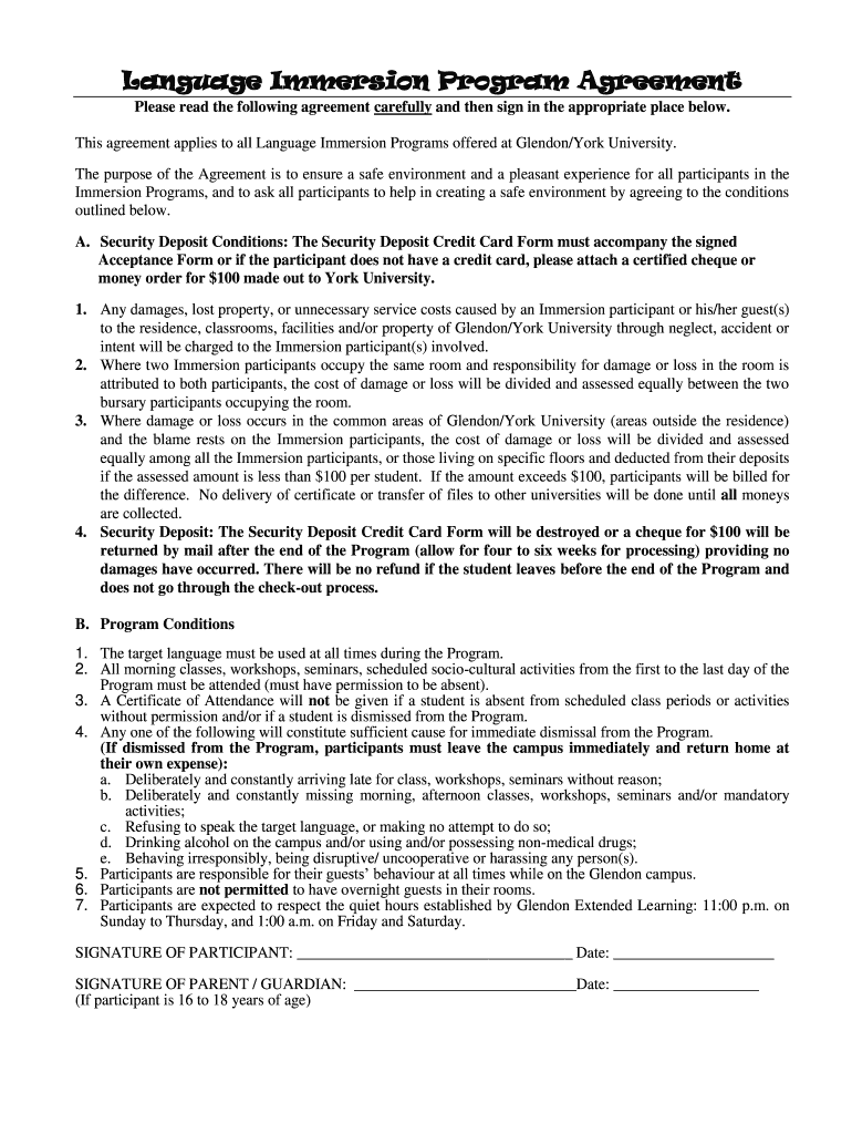
Language Immersion Program Agreement
Please read the following agreement carefully and then sign in the appropriate place below.
This agreement applies to all Language Immersion Programs offered at
We are not affiliated with any brand or entity on this form
Get, Create, Make and Sign immersion agreement - york
Edit your immersion agreement - york form online
Type text, complete fillable fields, insert images, highlight or blackout data for discretion, add comments, and more.
Add your legally-binding signature
Draw or type your signature, upload a signature image, or capture it with your digital camera.
Share your form instantly
Email, fax, or share your immersion agreement - york form via URL. You can also download, print, or export forms to your preferred cloud storage service.
How to edit immersion agreement - york online
Here are the steps you need to follow to get started with our professional PDF editor:
1
Log into your account. If you don't have a profile yet, click Start Free Trial and sign up for one.
2
Simply add a document. Select Add New from your Dashboard and import a file into the system by uploading it from your device or importing it via the cloud, online, or internal mail. Then click Begin editing.
3
Edit immersion agreement - york. Add and change text, add new objects, move pages, add watermarks and page numbers, and more. Then click Done when you're done editing and go to the Documents tab to merge or split the file. If you want to lock or unlock the file, click the lock or unlock button.
4
Save your file. Select it from your list of records. Then, move your cursor to the right toolbar and choose one of the exporting options. You can save it in multiple formats, download it as a PDF, send it by email, or store it in the cloud, among other things.
It's easier to work with documents with pdfFiller than you could have believed. You may try it out for yourself by signing up for an account.
Uncompromising security for your PDF editing and eSignature needs
Your private information is safe with pdfFiller. We employ end-to-end encryption, secure cloud storage, and advanced access control to protect your documents and maintain regulatory compliance.
How to fill out immersion agreement - york
How to fill out Immersion Agreement - York:
01
Obtain the Immersion Agreement form from the relevant authority or organization in York.
02
Carefully read through the entire agreement to understand the terms and conditions.
03
Fill in your personal information accurately, including your full name, address, contact details, and any other required information.
04
Provide details about the program or activity for which the immersion agreement is required, such as the name of the organization, location, and duration.
05
Review and understand the responsibilities and obligations outlined in the agreement, such as compliance with rules and regulations, confidentiality, and liability.
06
Sign and date the agreement, indicating your agreement to abide by the terms and conditions stated.
07
Submit the completed immersion agreement to the appropriate authority or organization, as instructed.
Who needs Immersion Agreement - York:
01
Students or participants who are planning to take part in an immersion program or activity in York.
02
Educational institutions or organizations that are organizing immersion programs or activities in York.
03
Any individual or group who needs to formalize their commitment to comply with the terms and conditions of an immersion program or activity in York.
04
Organizations and individuals involved in hosting or facilitating immersion programs or activities in York, who require participants to sign the agreement for legal and logistical purposes.
Fill
form
: Try Risk Free
For pdfFiller’s FAQs
Below is a list of the most common customer questions. If you can’t find an answer to your question, please don’t hesitate to reach out to us.
What is immersion agreement - york?
Immersion agreement - york is a document that outlines the terms and conditions of a student participating in an immersion program in York.
Who is required to file immersion agreement - york?
The student and their parent or guardian are required to file the immersion agreement in York.
How to fill out immersion agreement - york?
The immersion agreement in York can be filled out by providing the necessary information about the student, the immersion program, and agreeing to the terms and conditions stated.
What is the purpose of immersion agreement - york?
The purpose of immersion agreement in York is to ensure that both the student and the program understand their roles and responsibilities during the immersion program.
What information must be reported on immersion agreement - york?
The immersion agreement in York must include information such as the student's personal details, the program details, the duration of the program, and the acknowledgment of the terms and conditions.
How can I send immersion agreement - york for eSignature?
immersion agreement - york is ready when you're ready to send it out. With pdfFiller, you can send it out securely and get signatures in just a few clicks. PDFs can be sent to you by email, text message, fax, USPS mail, or notarized on your account. You can do this right from your account. Become a member right now and try it out for yourself!
Can I create an eSignature for the immersion agreement - york in Gmail?
You may quickly make your eSignature using pdfFiller and then eSign your immersion agreement - york right from your mailbox using pdfFiller's Gmail add-on. Please keep in mind that in order to preserve your signatures and signed papers, you must first create an account.
Can I edit immersion agreement - york on an Android device?
You can make any changes to PDF files, like immersion agreement - york, with the help of the pdfFiller Android app. Edit, sign, and send documents right from your phone or tablet. You can use the app to make document management easier wherever you are.
Fill out your immersion agreement - york online with pdfFiller!
pdfFiller is an end-to-end solution for managing, creating, and editing documents and forms in the cloud. Save time and hassle by preparing your tax forms online.
Immersion Agreement - York is not the form you're looking for?Search for another form here.
Relevant keywords
Related Forms
If you believe that this page should be taken down, please follow our DMCA take down process
here
.
This form may include fields for payment information. Data entered in these fields is not covered by PCI DSS compliance.