
Get the free Upland Hunting Style Training Methods vs. Field Trial Style
Show details
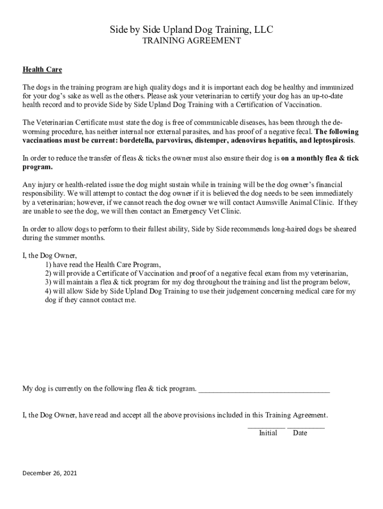
Side by Side Upland Dog Training, LLC TRAINING AGREEMENTHealth Care The dogs in the training program are high quality dogs, and it is important each dog be healthy and immunized for your dogs sake
We are not affiliated with any brand or entity on this form
Get, Create, Make and Sign upland hunting style training

Edit your upland hunting style training form online
Type text, complete fillable fields, insert images, highlight or blackout data for discretion, add comments, and more.

Add your legally-binding signature
Draw or type your signature, upload a signature image, or capture it with your digital camera.

Share your form instantly
Email, fax, or share your upland hunting style training form via URL. You can also download, print, or export forms to your preferred cloud storage service.
How to edit upland hunting style training online
To use the services of a skilled PDF editor, follow these steps below:
1
Create an account. Begin by choosing Start Free Trial and, if you are a new user, establish a profile.
2
Prepare a file. Use the Add New button. Then upload your file to the system from your device, importing it from internal mail, the cloud, or by adding its URL.
3
Edit upland hunting style training. Text may be added and replaced, new objects can be included, pages can be rearranged, watermarks and page numbers can be added, and so on. When you're done editing, click Done and then go to the Documents tab to combine, divide, lock, or unlock the file.
4
Get your file. Select your file from the documents list and pick your export method. You may save it as a PDF, email it, or upload it to the cloud.
Uncompromising security for your PDF editing and eSignature needs
Your private information is safe with pdfFiller. We employ end-to-end encryption, secure cloud storage, and advanced access control to protect your documents and maintain regulatory compliance.
How to fill out upland hunting style training

How to fill out upland hunting style training
01
Begin by selecting a suitable hunting dog breed, such as a Brittany, English Setter, or German Shorthaired Pointer.
02
Start basic obedience training with your hunting dog, teaching commands such as sit, stay, come, and heel.
03
Introduce your dog to the scent of upland game birds by using bird wings or scent training aids.
04
Practice basic hunting skills such as quartering, flushing game, and retrieving with your dog in a controlled environment.
05
Gradually transition to hunting in real upland environments, such as fields or wooded areas, while continuing to reinforce good behaviors and commands.
06
Consider enrolling in a specialized upland hunting training program or working with a professional trainer to further develop your dog's skills.
Who needs upland hunting style training?
01
Hunters who are interested in pursuing upland game birds such as pheasants, quail, grouse, or woodcock.
02
Dog owners who want to train their hunting dog to excel in upland hunting scenarios.
03
People who enjoy the sport of upland hunting and want to ensure their dog is well-prepared and trained for the activity.
Fill
form
: Try Risk Free
For pdfFiller’s FAQs
Below is a list of the most common customer questions. If you can’t find an answer to your question, please don’t hesitate to reach out to us.
How do I execute upland hunting style training online?
pdfFiller has made it easy to fill out and sign upland hunting style training. You can use the solution to change and move PDF content, add fields that can be filled in, and sign the document electronically. Start a free trial of pdfFiller, the best tool for editing and filling in documents.
How can I fill out upland hunting style training on an iOS device?
Install the pdfFiller app on your iOS device to fill out papers. If you have a subscription to the service, create an account or log in to an existing one. After completing the registration process, upload your upland hunting style training. You may now use pdfFiller's advanced features, such as adding fillable fields and eSigning documents, and accessing them from any device, wherever you are.
How do I edit upland hunting style training on an Android device?
The pdfFiller app for Android allows you to edit PDF files like upland hunting style training. Mobile document editing, signing, and sending. Install the app to ease document management anywhere.
What is upland hunting style training?
Upland hunting style training focuses on teaching dogs to flush out game birds such as pheasants, quail, and grouse.
Who is required to file upland hunting style training?
Hunters who participate in upland bird hunting are required to file upland hunting style training.
How to fill out upland hunting style training?
To fill out upland hunting style training, hunters must document the specific techniques and commands used to train their dogs for upland bird hunting.
What is the purpose of upland hunting style training?
The purpose of upland hunting style training is to ensure dogs are properly trained to effectively and ethically flush out game birds during hunts.
What information must be reported on upland hunting style training?
Information such as the type of birds being hunted, training methods used, and any certifications obtained by the dog may need to be reported on upland hunting style training.
Fill out your upland hunting style training online with pdfFiller!
pdfFiller is an end-to-end solution for managing, creating, and editing documents and forms in the cloud. Save time and hassle by preparing your tax forms online.

Upland Hunting Style Training is not the form you're looking for?Search for another form here.
Relevant keywords
Related Forms
If you believe that this page should be taken down, please follow our DMCA take down process
here
.
This form may include fields for payment information. Data entered in these fields is not covered by PCI DSS compliance.