
Get the free HEALTH PLAN FOR EAST CAROLINA UNIVERSITY ...
Show details
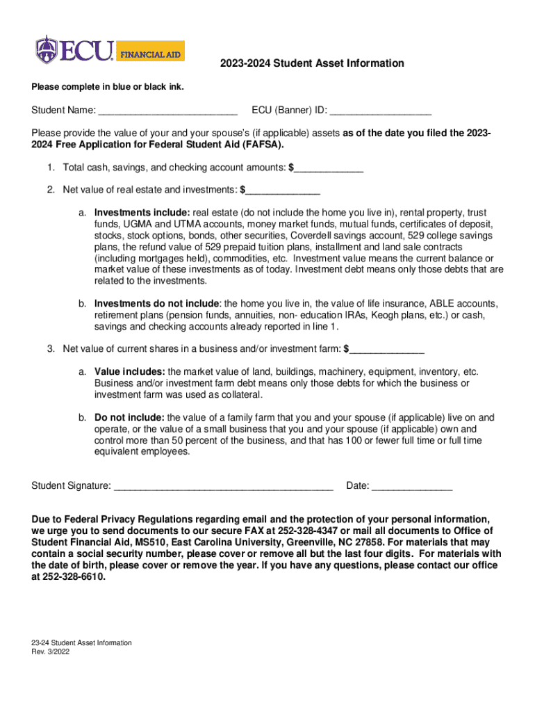
20232024 Student Asset Information Please complete in blue or black ink.Student Name: ___ECU (Banner) ID: ___Please provide the value of your and your spouses (if applicable) assets as of the date
We are not affiliated with any brand or entity on this form
Get, Create, Make and Sign health plan for east

Edit your health plan for east form online
Type text, complete fillable fields, insert images, highlight or blackout data for discretion, add comments, and more.

Add your legally-binding signature
Draw or type your signature, upload a signature image, or capture it with your digital camera.

Share your form instantly
Email, fax, or share your health plan for east form via URL. You can also download, print, or export forms to your preferred cloud storage service.
Editing health plan for east online
To use our professional PDF editor, follow these steps:
1
Sign into your account. It's time to start your free trial.
2
Simply add a document. Select Add New from your Dashboard and import a file into the system by uploading it from your device or importing it via the cloud, online, or internal mail. Then click Begin editing.
3
Edit health plan for east. Rearrange and rotate pages, add and edit text, and use additional tools. To save changes and return to your Dashboard, click Done. The Documents tab allows you to merge, divide, lock, or unlock files.
4
Save your file. Select it from your list of records. Then, move your cursor to the right toolbar and choose one of the exporting options. You can save it in multiple formats, download it as a PDF, send it by email, or store it in the cloud, among other things.
With pdfFiller, dealing with documents is always straightforward.
Uncompromising security for your PDF editing and eSignature needs
Your private information is safe with pdfFiller. We employ end-to-end encryption, secure cloud storage, and advanced access control to protect your documents and maintain regulatory compliance.
How to fill out health plan for east

How to fill out health plan for east
01
Obtain the health plan form for east.
02
Fill in your personal information accurately, including name, address, contact information, and date of birth.
03
Provide details about your medical history, any pre-existing conditions, and current medications.
04
Select the coverage options that best suit your needs and budget.
05
Review the completed form for any errors or omissions before submitting it.
Who needs health plan for east?
01
Anyone living in the eastern region who wants access to healthcare services and coverage.
02
Individuals who want to ensure they are prepared for any medical emergencies or unforeseen health issues in the east.
Fill
form
: Try Risk Free
For pdfFiller’s FAQs
Below is a list of the most common customer questions. If you can’t find an answer to your question, please don’t hesitate to reach out to us.
How do I make edits in health plan for east without leaving Chrome?
Install the pdfFiller Chrome Extension to modify, fill out, and eSign your health plan for east, which you can access right from a Google search page. Fillable documents without leaving Chrome on any internet-connected device.
How do I complete health plan for east on an iOS device?
Get and install the pdfFiller application for iOS. Next, open the app and log in or create an account to get access to all of the solution’s editing features. To open your health plan for east, upload it from your device or cloud storage, or enter the document URL. After you complete all of the required fields within the document and eSign it (if that is needed), you can save it or share it with others.
How do I fill out health plan for east on an Android device?
Use the pdfFiller mobile app to complete your health plan for east on an Android device. The application makes it possible to perform all needed document management manipulations, like adding, editing, and removing text, signing, annotating, and more. All you need is your smartphone and an internet connection.
What is health plan for east?
Health plan for east is a detailed document outlining the strategies and actions that will be taken to improve the health outcomes of the population in the eastern region.
Who is required to file health plan for east?
All health organizations, providers, and stakeholders operating in the eastern region are required to file the health plan for east.
How to fill out health plan for east?
Health plan for east can be filled out by collecting and analyzing data, setting goals and objectives, implementing interventions, and monitoring progress.
What is the purpose of health plan for east?
The purpose of health plan for east is to improve the health status of the population in the eastern region, address health disparities, and ensure access to quality healthcare services.
What information must be reported on health plan for east?
Information such as demographics, health needs assessment, goals and objectives, strategies, budget, and evaluation plan must be reported on health plan for east.
Fill out your health plan for east online with pdfFiller!
pdfFiller is an end-to-end solution for managing, creating, and editing documents and forms in the cloud. Save time and hassle by preparing your tax forms online.

Health Plan For East is not the form you're looking for?Search for another form here.
Relevant keywords
Related Forms
If you believe that this page should be taken down, please follow our DMCA take down process
here
.
This form may include fields for payment information. Data entered in these fields is not covered by PCI DSS compliance.