
Get the free NWCG Standards for Airspace Coordination,PMS 520. NWCG Standards for Airspace Coordi...
Show details
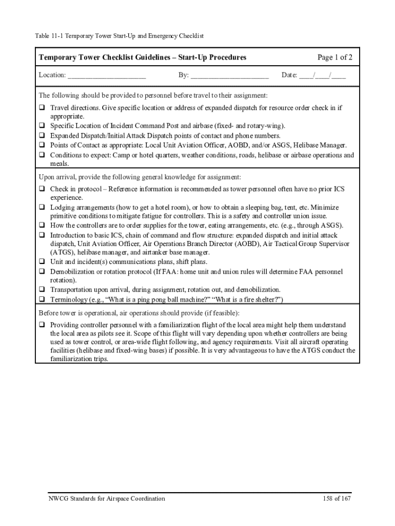
Table 111 Temporary Tower StartUp and Emergency ChecklistTemporary Tower Checklist Guidelines StartUp Procedures Location: ___By: ___Page 1 of 2 Date: ___/___/___The following should be provided to
We are not affiliated with any brand or entity on this form
Get, Create, Make and Sign nwcg standards for airspace

Edit your nwcg standards for airspace form online
Type text, complete fillable fields, insert images, highlight or blackout data for discretion, add comments, and more.

Add your legally-binding signature
Draw or type your signature, upload a signature image, or capture it with your digital camera.

Share your form instantly
Email, fax, or share your nwcg standards for airspace form via URL. You can also download, print, or export forms to your preferred cloud storage service.
Editing nwcg standards for airspace online
Here are the steps you need to follow to get started with our professional PDF editor:
1
Log into your account. It's time to start your free trial.
2
Simply add a document. Select Add New from your Dashboard and import a file into the system by uploading it from your device or importing it via the cloud, online, or internal mail. Then click Begin editing.
3
Edit nwcg standards for airspace. Rearrange and rotate pages, add and edit text, and use additional tools. To save changes and return to your Dashboard, click Done. The Documents tab allows you to merge, divide, lock, or unlock files.
4
Get your file. Select your file from the documents list and pick your export method. You may save it as a PDF, email it, or upload it to the cloud.
It's easier to work with documents with pdfFiller than you could have believed. You can sign up for an account to see for yourself.
Uncompromising security for your PDF editing and eSignature needs
Your private information is safe with pdfFiller. We employ end-to-end encryption, secure cloud storage, and advanced access control to protect your documents and maintain regulatory compliance.
How to fill out nwcg standards for airspace

How to fill out nwcg standards for airspace
01
Determine the specific airspace standards required by the National Wildfire Coordinating Group (NWCG).
02
Access the NWCG standards for airspace document online or through the appropriate agency.
03
Review each section of the document carefully to understand the requirements.
04
Fill out the necessary forms or paperwork with accurate information based on the standards.
05
Submit the completed paperwork to the relevant authority or agency for approval.
Who needs nwcg standards for airspace?
01
Wildfire management agencies
02
Aerial firefighting companies
03
Pilots and aircrews involved in wildfire suppression operations
Fill
form
: Try Risk Free
For pdfFiller’s FAQs
Below is a list of the most common customer questions. If you can’t find an answer to your question, please don’t hesitate to reach out to us.
How do I execute nwcg standards for airspace online?
pdfFiller has made filling out and eSigning nwcg standards for airspace easy. The solution is equipped with a set of features that enable you to edit and rearrange PDF content, add fillable fields, and eSign the document. Start a free trial to explore all the capabilities of pdfFiller, the ultimate document editing solution.
How do I fill out the nwcg standards for airspace form on my smartphone?
You can easily create and fill out legal forms with the help of the pdfFiller mobile app. Complete and sign nwcg standards for airspace and other documents on your mobile device using the application. Visit pdfFiller’s webpage to learn more about the functionalities of the PDF editor.
Can I edit nwcg standards for airspace on an iOS device?
Yes, you can. With the pdfFiller mobile app, you can instantly edit, share, and sign nwcg standards for airspace on your iOS device. Get it at the Apple Store and install it in seconds. The application is free, but you will have to create an account to purchase a subscription or activate a free trial.
What is nwcg standards for airspace?
The National Wildfire Coordinating Group (NWCG) standards for airspace are guidelines and regulations set in place to ensure the safe and effective coordination of aircraft operations during wildfires.
Who is required to file nwcg standards for airspace?
Any agency or organization involved in wildfire management and response, including federal, state, and local agencies, as well as private contractors, may be required to file NWCG standards for airspace.
How to fill out nwcg standards for airspace?
The NWCG standards for airspace can be filled out by completing the required forms and providing the necessary information regarding aircraft operations, airspace coordination, and communication protocols during wildfire incidents.
What is the purpose of nwcg standards for airspace?
The purpose of NWCG standards for airspace is to establish consistent procedures and protocols for aircraft operations, airspace coordination, and communication to ensure the safety and effectiveness of aerial firefighting efforts.
What information must be reported on nwcg standards for airspace?
Information that must be reported on NWCG standards for airspace may include details about aircraft types and capabilities, airspace restrictions, communication frequencies, incident status updates, and other relevant information for effective coordination.
Fill out your nwcg standards for airspace online with pdfFiller!
pdfFiller is an end-to-end solution for managing, creating, and editing documents and forms in the cloud. Save time and hassle by preparing your tax forms online.

Nwcg Standards For Airspace is not the form you're looking for?Search for another form here.
Relevant keywords
Related Forms
If you believe that this page should be taken down, please follow our DMCA take down process
here
.
This form may include fields for payment information. Data entered in these fields is not covered by PCI DSS compliance.