Get the free New Orleans Municipal Yacht Harbor Management ...
Show details
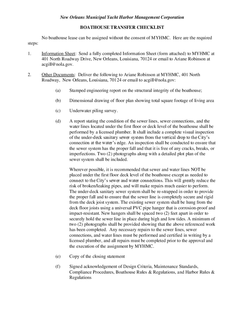
New Orleans Municipal Yacht Harbor Management Corporation BOATHOUSE TRANSFER CHECKLIST No boathouse lease can be assigned without the consent of MY HMC. Here are the required steps: 1. Information
We are not affiliated with any brand or entity on this form
Get, Create, Make and Sign new orleans municipal yacht
Edit your new orleans municipal yacht form online
Type text, complete fillable fields, insert images, highlight or blackout data for discretion, add comments, and more.
Add your legally-binding signature
Draw or type your signature, upload a signature image, or capture it with your digital camera.
Share your form instantly
Email, fax, or share your new orleans municipal yacht form via URL. You can also download, print, or export forms to your preferred cloud storage service.
How to edit new orleans municipal yacht online
In order to make advantage of the professional PDF editor, follow these steps below:
1
Log in to account. Click on Start Free Trial and sign up a profile if you don't have one.
2
Prepare a file. Use the Add New button. Then upload your file to the system from your device, importing it from internal mail, the cloud, or by adding its URL.
3
Edit new orleans municipal yacht. Add and replace text, insert new objects, rearrange pages, add watermarks and page numbers, and more. Click Done when you are finished editing and go to the Documents tab to merge, split, lock or unlock the file.
4
Get your file. Select your file from the documents list and pick your export method. You may save it as a PDF, email it, or upload it to the cloud.
It's easier to work with documents with pdfFiller than you could have ever thought. You may try it out for yourself by signing up for an account.
Uncompromising security for your PDF editing and eSignature needs
Your private information is safe with pdfFiller. We employ end-to-end encryption, secure cloud storage, and advanced access control to protect your documents and maintain regulatory compliance.
How to fill out new orleans municipal yacht
How to fill out new orleans municipal yacht
01
Obtain necessary permits from the New Orleans municipal government for yacht usage.
02
Gather all required documentation such as proof of ownership, insurance, and registration.
03
Fill out the registration form with accurate and up-to-date information about the yacht.
04
Pay any applicable fees for registration and obtain a copy of the registration certificate.
05
Display the registration certificate on the yacht at all times when in use.
Who needs new orleans municipal yacht?
01
Individuals who own a yacht and plan to use it on the waters of New Orleans.
02
Commercial businesses offering yacht charter services in the New Orleans area.
Fill
form
: Try Risk Free
For pdfFiller’s FAQs
Below is a list of the most common customer questions. If you can’t find an answer to your question, please don’t hesitate to reach out to us.
How can I get new orleans municipal yacht?
It's simple with pdfFiller, a full online document management tool. Access our huge online form collection (over 25M fillable forms are accessible) and find the new orleans municipal yacht in seconds. Open it immediately and begin modifying it with powerful editing options.
How do I complete new orleans municipal yacht online?
pdfFiller has made it simple to fill out and eSign new orleans municipal yacht. The application has capabilities that allow you to modify and rearrange PDF content, add fillable fields, and eSign the document. Begin a free trial to discover all of the features of pdfFiller, the best document editing solution.
How can I fill out new orleans municipal yacht on an iOS device?
Install the pdfFiller app on your iOS device to fill out papers. Create an account or log in if you already have one. After registering, upload your new orleans municipal yacht. You may now use pdfFiller's advanced features like adding fillable fields and eSigning documents from any device, anywhere.
What is new orleans municipal yacht?
The New Orleans Municipal Yacht is a registration process for yacht owners in the city of New Orleans.
Who is required to file new orleans municipal yacht?
All yacht owners in the city of New Orleans are required to file the New Orleans Municipal Yacht registration.
How to fill out new orleans municipal yacht?
The New Orleans Municipal Yacht registration can be filled out online through the city's official website or in person at the designated office.
What is the purpose of new orleans municipal yacht?
The purpose of the New Orleans Municipal Yacht registration is to keep track of all yacht owners in the city and ensure compliance with local regulations.
What information must be reported on new orleans municipal yacht?
Yacht owners must report information such as the yacht's registration number, ownership details, and any relevant documentation.
Fill out your new orleans municipal yacht online with pdfFiller!
pdfFiller is an end-to-end solution for managing, creating, and editing documents and forms in the cloud. Save time and hassle by preparing your tax forms online.
New Orleans Municipal Yacht is not the form you're looking for?Search for another form here.
Relevant keywords
Related Forms
If you believe that this page should be taken down, please follow our DMCA take down process
here
.
This form may include fields for payment information. Data entered in these fields is not covered by PCI DSS compliance.