
Get the free city of rio vista consultant services agreement
Show details
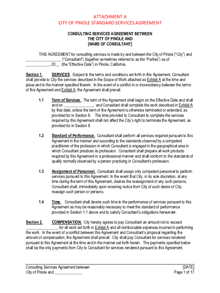
ATTACHMENT A CITY OF PINOLE STANDARD SERVICES AGREEMENT CONSULTING SERVICES AGREEMENT BETWEEN THE CITY OF PINOLE AND [NAME OF CONSULTANT] THIS AGREEMENT for consulting services is made by and between
We are not affiliated with any brand or entity on this form
Get, Create, Make and Sign city of rio vista

Edit your city of rio vista form online
Type text, complete fillable fields, insert images, highlight or blackout data for discretion, add comments, and more.

Add your legally-binding signature
Draw or type your signature, upload a signature image, or capture it with your digital camera.

Share your form instantly
Email, fax, or share your city of rio vista form via URL. You can also download, print, or export forms to your preferred cloud storage service.
Editing city of rio vista online
Use the instructions below to start using our professional PDF editor:
1
Set up an account. If you are a new user, click Start Free Trial and establish a profile.
2
Prepare a file. Use the Add New button to start a new project. Then, using your device, upload your file to the system by importing it from internal mail, the cloud, or adding its URL.
3
Edit city of rio vista. Rearrange and rotate pages, insert new and alter existing texts, add new objects, and take advantage of other helpful tools. Click Done to apply changes and return to your Dashboard. Go to the Documents tab to access merging, splitting, locking, or unlocking functions.
4
Save your file. Choose it from the list of records. Then, shift the pointer to the right toolbar and select one of the several exporting methods: save it in multiple formats, download it as a PDF, email it, or save it to the cloud.
pdfFiller makes working with documents easier than you could ever imagine. Create an account to find out for yourself how it works!
Uncompromising security for your PDF editing and eSignature needs
Your private information is safe with pdfFiller. We employ end-to-end encryption, secure cloud storage, and advanced access control to protect your documents and maintain regulatory compliance.
How to fill out city of rio vista

How to fill out city of rio vista
01
Obtain a city of Rio Vista application form from the city's website or office.
02
Fill out the application form completely and accurately with the required information.
03
Provide any necessary supporting documents or materials as specified on the application form.
04
Submit the completed application form along with any required fees to the city of Rio Vista office or specified location.
05
Wait for the application to be processed and reviewed by the city officials.
Who needs city of rio vista?
01
Residents of Rio Vista who are applying for permits, licenses, or other city services.
02
Business owners in Rio Vista who need to comply with city regulations and requirements.
03
Individuals or organizations looking to participate in city events or programs in Rio Vista.
Fill
form
: Try Risk Free
For pdfFiller’s FAQs
Below is a list of the most common customer questions. If you can’t find an answer to your question, please don’t hesitate to reach out to us.
How do I complete city of rio vista online?
pdfFiller has made it easy to fill out and sign city of rio vista. You can use the solution to change and move PDF content, add fields that can be filled in, and sign the document electronically. Start a free trial of pdfFiller, the best tool for editing and filling in documents.
How do I fill out city of rio vista using my mobile device?
You can easily create and fill out legal forms with the help of the pdfFiller mobile app. Complete and sign city of rio vista and other documents on your mobile device using the application. Visit pdfFiller’s webpage to learn more about the functionalities of the PDF editor.
How can I fill out city of rio vista on an iOS device?
Install the pdfFiller app on your iOS device to fill out papers. Create an account or log in if you already have one. After registering, upload your city of rio vista. You may now use pdfFiller's advanced features like adding fillable fields and eSigning documents from any device, anywhere.
What is city of rio vista?
The City of Rio Vista is a small city located in Solano County, California, known for its charming riverside setting and community-oriented atmosphere.
Who is required to file city of rio vista?
Individuals and businesses that conduct certain activities and generate income within the City of Rio Vista are required to file.
How to fill out city of rio vista?
To fill out the City of Rio Vista forms, obtain the necessary forms from the city's official website or office, complete them with accurate information, and submit them according to the provided instructions.
What is the purpose of city of rio vista?
The purpose of the City of Rio Vista includes providing municipal services, maintaining public infrastructure, and supporting community development.
What information must be reported on city of rio vista?
Information such as income generated, business activities, and relevant tax identification details must be reported on the City of Rio Vista filings.
Fill out your city of rio vista online with pdfFiller!
pdfFiller is an end-to-end solution for managing, creating, and editing documents and forms in the cloud. Save time and hassle by preparing your tax forms online.

City Of Rio Vista is not the form you're looking for?Search for another form here.
Relevant keywords
Related Forms
If you believe that this page should be taken down, please follow our DMCA take down process
here
.
This form may include fields for payment information. Data entered in these fields is not covered by PCI DSS compliance.