Get the free Cme Disclosure Form
Show details
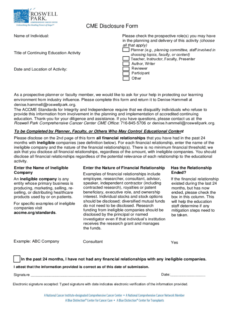
Complete this CME Disclosure Form to disclose financial relationships with ineligible companies and ensure integrity in continuing education activities.
We are not affiliated with any brand or entity on this form
Get, Create, Make and Sign cme disclosure form
Edit your cme disclosure form form online
Type text, complete fillable fields, insert images, highlight or blackout data for discretion, add comments, and more.
Add your legally-binding signature
Draw or type your signature, upload a signature image, or capture it with your digital camera.
Share your form instantly
Email, fax, or share your cme disclosure form form via URL. You can also download, print, or export forms to your preferred cloud storage service.
How to edit cme disclosure form online
Use the instructions below to start using our professional PDF editor:
1
Log in. Click Start Free Trial and create a profile if necessary.
2
Prepare a file. Use the Add New button to start a new project. Then, using your device, upload your file to the system by importing it from internal mail, the cloud, or adding its URL.
3
Edit cme disclosure form. Add and change text, add new objects, move pages, add watermarks and page numbers, and more. Then click Done when you're done editing and go to the Documents tab to merge or split the file. If you want to lock or unlock the file, click the lock or unlock button.
4
Save your file. Select it from your list of records. Then, move your cursor to the right toolbar and choose one of the exporting options. You can save it in multiple formats, download it as a PDF, send it by email, or store it in the cloud, among other things.
With pdfFiller, it's always easy to work with documents.
Uncompromising security for your PDF editing and eSignature needs
Your private information is safe with pdfFiller. We employ end-to-end encryption, secure cloud storage, and advanced access control to protect your documents and maintain regulatory compliance.
How to fill out cme disclosure form
How to fill out cme disclosure form
01
Start by providing your basic personal information such as name, contact details, and professional credentials.
02
Disclose any financial relationships you have with any companies or organizations that could be perceived as a conflict of interest.
03
Be thorough and transparent in detailing any financial interests, relationships, or activities related to the content you are disclosing.
04
Review the form carefully before submitting to ensure accuracy and completeness.
Who needs cme disclosure form?
01
Healthcare professionals attending or participating in continuing medical education (CME) activities.
02
Speakers, faculty, and presenters at CME events.
03
Authors of educational materials for CME programs.
04
Organizers and planners of CME activities.
Fill
form
: Try Risk Free
For pdfFiller’s FAQs
Below is a list of the most common customer questions. If you can’t find an answer to your question, please don’t hesitate to reach out to us.
How can I manage my cme disclosure form directly from Gmail?
You may use pdfFiller's Gmail add-on to change, fill out, and eSign your cme disclosure form as well as other documents directly in your inbox by using the pdfFiller add-on for Gmail. pdfFiller for Gmail may be found on the Google Workspace Marketplace. Use the time you would have spent dealing with your papers and eSignatures for more vital tasks instead.
How do I edit cme disclosure form in Chrome?
cme disclosure form can be edited, filled out, and signed with the pdfFiller Google Chrome Extension. You can open the editor right from a Google search page with just one click. Fillable documents can be done on any web-connected device without leaving Chrome.
Can I sign the cme disclosure form electronically in Chrome?
Yes. You can use pdfFiller to sign documents and use all of the features of the PDF editor in one place if you add this solution to Chrome. In order to use the extension, you can draw or write an electronic signature. You can also upload a picture of your handwritten signature. There is no need to worry about how long it takes to sign your cme disclosure form.
What is cme disclosure form?
The cme disclosure form is a document that requires individuals to disclose any financial relationships or interests related to continuing medical education activities.
Who is required to file cme disclosure form?
Healthcare professionals who are involved in continuing medical education activities are required to file cme disclosure form.
How to fill out cme disclosure form?
To fill out the cme disclosure form, individuals must provide information about any financial relationships or interests related to continuing medical education activities.
What is the purpose of cme disclosure form?
The purpose of cme disclosure form is to promote transparency and integrity in continuing medical education by disclosing potential conflicts of interest.
What information must be reported on cme disclosure form?
Information that must be reported on cme disclosure form includes any financial relationships or interests related to continuing medical education activities.
Fill out your cme disclosure form online with pdfFiller!
pdfFiller is an end-to-end solution for managing, creating, and editing documents and forms in the cloud. Save time and hassle by preparing your tax forms online.
Cme Disclosure Form is not the form you're looking for?Search for another form here.
Relevant keywords
Related Forms
If you believe that this page should be taken down, please follow our DMCA take down process
here
.
This form may include fields for payment information. Data entered in these fields is not covered by PCI DSS compliance.