
Get the free City of Franklin, Ohio ACCESSORY USE APPLICATION
Show details
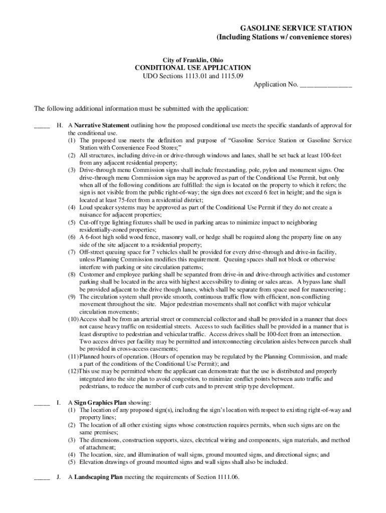
GASOLINE SERVICE STATION
(Including Stations w/ convenience stores)
City of Franklin, Biconditional USE APPLICATION
UDO Sections 1113.01 and 1115.09
Application No. ___The following additional information
We are not affiliated with any brand or entity on this form
Get, Create, Make and Sign city of franklin ohio

Edit your city of franklin ohio form online
Type text, complete fillable fields, insert images, highlight or blackout data for discretion, add comments, and more.

Add your legally-binding signature
Draw or type your signature, upload a signature image, or capture it with your digital camera.

Share your form instantly
Email, fax, or share your city of franklin ohio form via URL. You can also download, print, or export forms to your preferred cloud storage service.
Editing city of franklin ohio online
Here are the steps you need to follow to get started with our professional PDF editor:
1
Set up an account. If you are a new user, click Start Free Trial and establish a profile.
2
Prepare a file. Use the Add New button. Then upload your file to the system from your device, importing it from internal mail, the cloud, or by adding its URL.
3
Edit city of franklin ohio. Rearrange and rotate pages, insert new and alter existing texts, add new objects, and take advantage of other helpful tools. Click Done to apply changes and return to your Dashboard. Go to the Documents tab to access merging, splitting, locking, or unlocking functions.
4
Save your file. Select it from your list of records. Then, move your cursor to the right toolbar and choose one of the exporting options. You can save it in multiple formats, download it as a PDF, send it by email, or store it in the cloud, among other things.
pdfFiller makes working with documents easier than you could ever imagine. Register for an account and see for yourself!
Uncompromising security for your PDF editing and eSignature needs
Your private information is safe with pdfFiller. We employ end-to-end encryption, secure cloud storage, and advanced access control to protect your documents and maintain regulatory compliance.
How to fill out city of franklin ohio

How to fill out city of franklin ohio
01
Visit the official website of City of Franklin, Ohio.
02
Locate the form for city registration or licensing.
03
Fill out all the required fields with accurate information.
04
Submit the form online or in person at the designated office.
05
Pay any applicable fees for processing the application.
Who needs city of franklin ohio?
01
Residents of Franklin, Ohio who want to register for city services or obtain a license.
02
Business owners operating within the city limits of Franklin, Ohio.
Fill
form
: Try Risk Free
For pdfFiller’s FAQs
Below is a list of the most common customer questions. If you can’t find an answer to your question, please don’t hesitate to reach out to us.
How can I modify city of franklin ohio without leaving Google Drive?
It is possible to significantly enhance your document management and form preparation by combining pdfFiller with Google Docs. This will allow you to generate papers, amend them, and sign them straight from your Google Drive. Use the add-on to convert your city of franklin ohio into a dynamic fillable form that can be managed and signed using any internet-connected device.
Can I create an electronic signature for signing my city of franklin ohio in Gmail?
With pdfFiller's add-on, you may upload, type, or draw a signature in Gmail. You can eSign your city of franklin ohio and other papers directly in your mailbox with pdfFiller. To preserve signed papers and your personal signatures, create an account.
How do I edit city of franklin ohio straight from my smartphone?
Using pdfFiller's mobile-native applications for iOS and Android is the simplest method to edit documents on a mobile device. You may get them from the Apple App Store and Google Play, respectively. More information on the apps may be found here. Install the program and log in to begin editing city of franklin ohio.
What is city of franklin ohio?
The city of Franklin, Ohio is a municipality located in Warren County.
Who is required to file city of franklin ohio?
All residents and businesses located within the city limits of Franklin, Ohio are required to file.
How to fill out city of franklin ohio?
To fill out the city of Franklin, Ohio form, residents and businesses must provide information about their income, property, and any other relevant financial details.
What is the purpose of city of franklin ohio?
The city of Franklin, Ohio form is used to assess income tax liability for residents and businesses located within the city limits.
What information must be reported on city of franklin ohio?
Information such as income, property ownership, and other financial details must be reported on the city of Franklin, Ohio form.
Fill out your city of franklin ohio online with pdfFiller!
pdfFiller is an end-to-end solution for managing, creating, and editing documents and forms in the cloud. Save time and hassle by preparing your tax forms online.

City Of Franklin Ohio is not the form you're looking for?Search for another form here.
Relevant keywords
Related Forms
If you believe that this page should be taken down, please follow our DMCA take down process
here
.
This form may include fields for payment information. Data entered in these fields is not covered by PCI DSS compliance.