Get the free Faculty and StaffUVM Office of Institutional Research ...
Show details
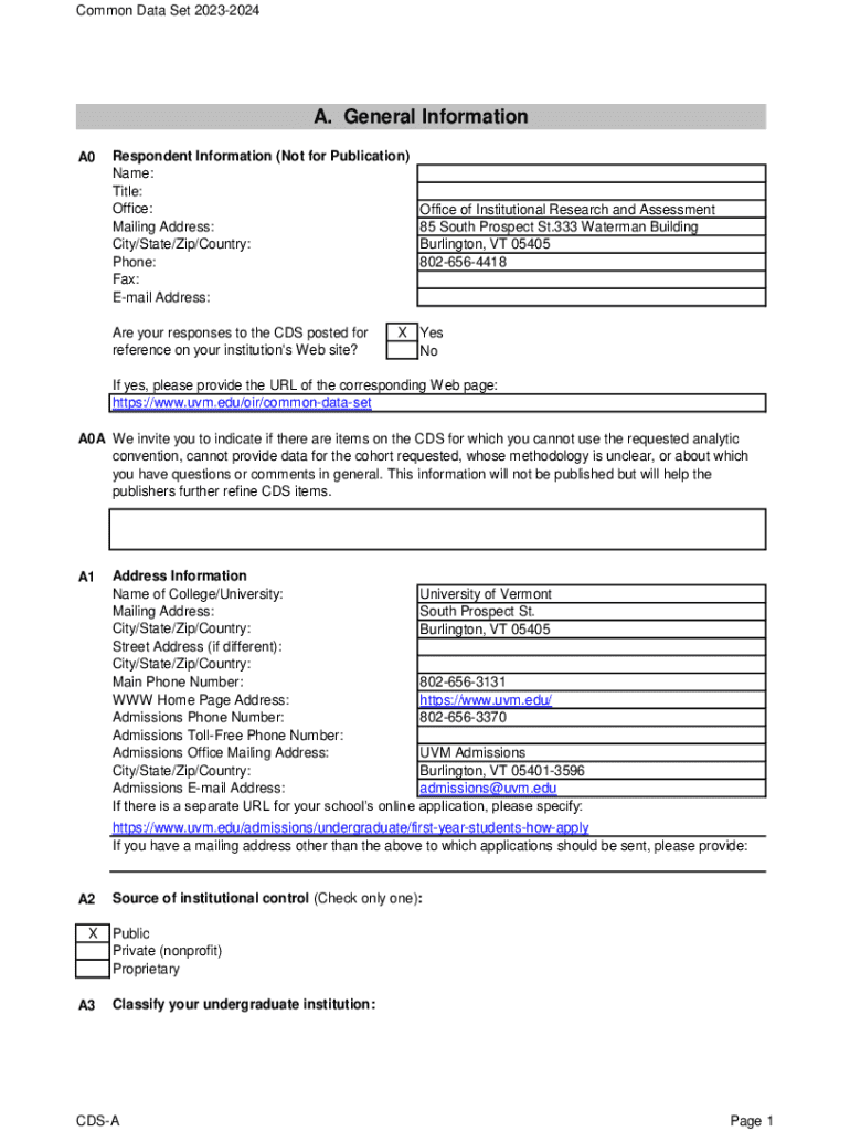
Common Data Set 20232024A. General Information A0Respondent Information (Not for Publication) Name: Title: Office: Mailing Address: City/State/Zip/Country: Phone: Fax: Email Address: Are your responses
We are not affiliated with any brand or entity on this form
Get, Create, Make and Sign faculty and staffuvm office
Edit your faculty and staffuvm office form online
Type text, complete fillable fields, insert images, highlight or blackout data for discretion, add comments, and more.
Add your legally-binding signature
Draw or type your signature, upload a signature image, or capture it with your digital camera.
Share your form instantly
Email, fax, or share your faculty and staffuvm office form via URL. You can also download, print, or export forms to your preferred cloud storage service.
How to edit faculty and staffuvm office online
To use our professional PDF editor, follow these steps:
1
Log in to account. Click Start Free Trial and register a profile if you don't have one yet.
2
Upload a file. Select Add New on your Dashboard and upload a file from your device or import it from the cloud, online, or internal mail. Then click Edit.
3
Edit faculty and staffuvm office. Text may be added and replaced, new objects can be included, pages can be rearranged, watermarks and page numbers can be added, and so on. When you're done editing, click Done and then go to the Documents tab to combine, divide, lock, or unlock the file.
4
Get your file. When you find your file in the docs list, click on its name and choose how you want to save it. To get the PDF, you can save it, send an email with it, or move it to the cloud.
With pdfFiller, dealing with documents is always straightforward. Try it now!
Uncompromising security for your PDF editing and eSignature needs
Your private information is safe with pdfFiller. We employ end-to-end encryption, secure cloud storage, and advanced access control to protect your documents and maintain regulatory compliance.
How to fill out faculty and staffuvm office
How to fill out faculty and staffuvm office
01
Obtain the necessary forms or documents for filling out the faculty and staff UVM office.
02
Fill in personal information such as name, contact information, job title, and department.
03
Provide any additional required information such as emergency contacts or work schedule.
04
Review the completed form for accuracy and completeness before submitting it to the appropriate office.
Who needs faculty and staffuvm office?
01
Faculty and staff members at the University of Vermont who need access to office resources and tools.
Fill
form
: Try Risk Free
For pdfFiller’s FAQs
Below is a list of the most common customer questions. If you can’t find an answer to your question, please don’t hesitate to reach out to us.
How do I complete faculty and staffuvm office online?
pdfFiller makes it easy to finish and sign faculty and staffuvm office online. It lets you make changes to original PDF content, highlight, black out, erase, and write text anywhere on a page, legally eSign your form, and more, all from one place. Create a free account and use the web to keep track of professional documents.
How do I fill out the faculty and staffuvm office form on my smartphone?
You can easily create and fill out legal forms with the help of the pdfFiller mobile app. Complete and sign faculty and staffuvm office and other documents on your mobile device using the application. Visit pdfFiller’s webpage to learn more about the functionalities of the PDF editor.
How do I edit faculty and staffuvm office on an iOS device?
Use the pdfFiller app for iOS to make, edit, and share faculty and staffuvm office from your phone. Apple's store will have it up and running in no time. It's possible to get a free trial and choose a subscription plan that fits your needs.
What is faculty and staffuvm office?
Faculty and staffuvm office is a record keeping system for the employees of a university or academic institution.
Who is required to file faculty and staffuvm office?
All faculty and staff members of the university are required to file faculty and staffuvm office.
How to fill out faculty and staffuvm office?
Faculty and staff members can fill out faculty and staffuvm office by providing their personal and employment information.
What is the purpose of faculty and staffuvm office?
The purpose of faculty and staffuvm office is to maintain accurate records of all faculty and staff members for administrative purposes.
What information must be reported on faculty and staffuvm office?
Faculty and staffuvm office must include personal information, employment history, salary details, and any relevant benefits.
Fill out your faculty and staffuvm office online with pdfFiller!
pdfFiller is an end-to-end solution for managing, creating, and editing documents and forms in the cloud. Save time and hassle by preparing your tax forms online.
Faculty And Staffuvm Office is not the form you're looking for?Search for another form here.
Relevant keywords
Related Forms
If you believe that this page should be taken down, please follow our DMCA take down process
here
.
This form may include fields for payment information. Data entered in these fields is not covered by PCI DSS compliance.