
Get the free Modifies provisions relating to liability of a landowners
Show details
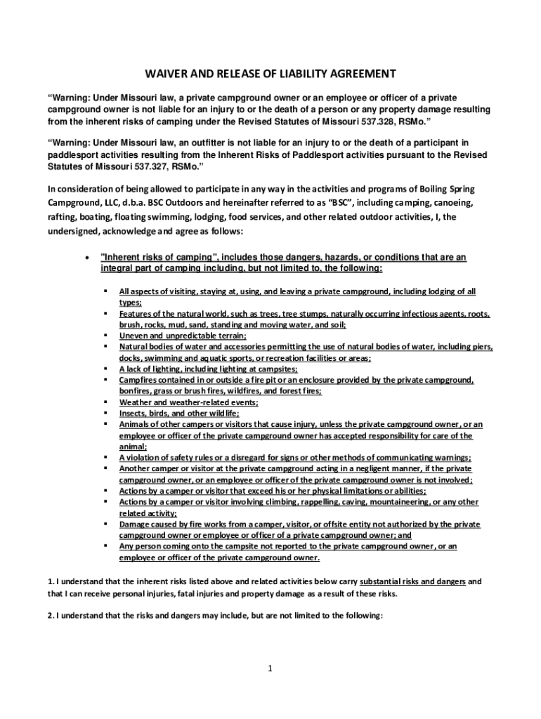
WAIVER AND RELEASE OF LIABILITY AGREEMENT Warning: Under Missouri law, a private campground owner or an employee or officer of a private campground owner is not liable for an injury to or the death
We are not affiliated with any brand or entity on this form
Get, Create, Make and Sign modifies provisions relating to

Edit your modifies provisions relating to form online
Type text, complete fillable fields, insert images, highlight or blackout data for discretion, add comments, and more.

Add your legally-binding signature
Draw or type your signature, upload a signature image, or capture it with your digital camera.

Share your form instantly
Email, fax, or share your modifies provisions relating to form via URL. You can also download, print, or export forms to your preferred cloud storage service.
Editing modifies provisions relating to online
Use the instructions below to start using our professional PDF editor:
1
Register the account. Begin by clicking Start Free Trial and create a profile if you are a new user.
2
Upload a file. Select Add New on your Dashboard and upload a file from your device or import it from the cloud, online, or internal mail. Then click Edit.
3
Edit modifies provisions relating to. Text may be added and replaced, new objects can be included, pages can be rearranged, watermarks and page numbers can be added, and so on. When you're done editing, click Done and then go to the Documents tab to combine, divide, lock, or unlock the file.
4
Get your file. Select your file from the documents list and pick your export method. You may save it as a PDF, email it, or upload it to the cloud.
pdfFiller makes dealing with documents a breeze. Create an account to find out!
Uncompromising security for your PDF editing and eSignature needs
Your private information is safe with pdfFiller. We employ end-to-end encryption, secure cloud storage, and advanced access control to protect your documents and maintain regulatory compliance.
How to fill out modifies provisions relating to

How to fill out modifies provisions relating to
01
Read the modifies provisions carefully to understand the changes being made.
02
Fill out the necessary fields with the updated information as per the modified provisions.
03
Double-check the filled-out modifies provisions for accuracy and completeness.
04
Submit the filled-out modifies provisions as per the specified guidelines.
Who needs modifies provisions relating to?
01
Anyone who is affected by the changes in the provisions needs to fill out modifies provisions relating to.
Fill
form
: Try Risk Free
For pdfFiller’s FAQs
Below is a list of the most common customer questions. If you can’t find an answer to your question, please don’t hesitate to reach out to us.
How can I edit modifies provisions relating to from Google Drive?
People who need to keep track of documents and fill out forms quickly can connect PDF Filler to their Google Docs account. This means that they can make, edit, and sign documents right from their Google Drive. Make your modifies provisions relating to into a fillable form that you can manage and sign from any internet-connected device with this add-on.
How do I execute modifies provisions relating to online?
pdfFiller has made it easy to fill out and sign modifies provisions relating to. You can use the solution to change and move PDF content, add fields that can be filled in, and sign the document electronically. Start a free trial of pdfFiller, the best tool for editing and filling in documents.
How do I edit modifies provisions relating to on an iOS device?
Use the pdfFiller app for iOS to make, edit, and share modifies provisions relating to from your phone. Apple's store will have it up and running in no time. It's possible to get a free trial and choose a subscription plan that fits your needs.
What is modifies provisions relating to?
Modifies provisions relating to refers to making changes or adjustments to existing regulations or rules.
Who is required to file modifies provisions relating to?
The entity or individual responsible for the affected provisions must file the modifies provisions relating to.
How to fill out modifies provisions relating to?
To fill out modifies provisions relating to, one must follow the specific instructions provided by the governing authority.
What is the purpose of modifies provisions relating to?
The purpose of modifies provisions relating to is to ensure compliance with updated or revised regulations.
What information must be reported on modifies provisions relating to?
The report must include details of the changes made, reasons for the modifications, and any relevant supporting documentation.
Fill out your modifies provisions relating to online with pdfFiller!
pdfFiller is an end-to-end solution for managing, creating, and editing documents and forms in the cloud. Save time and hassle by preparing your tax forms online.

Modifies Provisions Relating To is not the form you're looking for?Search for another form here.
Relevant keywords
Related Forms
If you believe that this page should be taken down, please follow our DMCA take down process
here
.
This form may include fields for payment information. Data entered in these fields is not covered by PCI DSS compliance.