
Get the free Online 4h missouri Missouri State 4-H Council ... - extension missouri
Show details
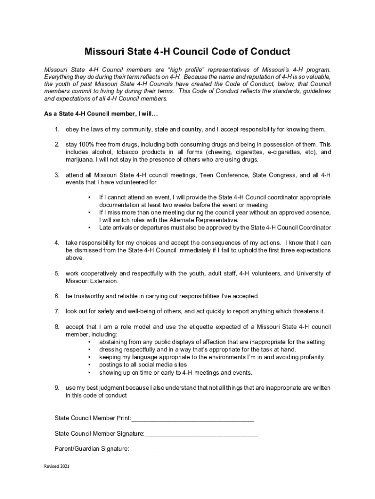
Missouri State 4H Council Code of Conduct Missouri State 4H Council members are high profile representatives of Missouris 4H program. Everything they do during their term reflects on 4H. Because the
We are not affiliated with any brand or entity on this form
Get, Create, Make and Sign online 4h missouri missouri

Edit your online 4h missouri missouri form online
Type text, complete fillable fields, insert images, highlight or blackout data for discretion, add comments, and more.

Add your legally-binding signature
Draw or type your signature, upload a signature image, or capture it with your digital camera.

Share your form instantly
Email, fax, or share your online 4h missouri missouri form via URL. You can also download, print, or export forms to your preferred cloud storage service.
Editing online 4h missouri missouri online
Use the instructions below to start using our professional PDF editor:
1
Create an account. Begin by choosing Start Free Trial and, if you are a new user, establish a profile.
2
Prepare a file. Use the Add New button. Then upload your file to the system from your device, importing it from internal mail, the cloud, or by adding its URL.
3
Edit online 4h missouri missouri. Replace text, adding objects, rearranging pages, and more. Then select the Documents tab to combine, divide, lock or unlock the file.
4
Get your file. Select your file from the documents list and pick your export method. You may save it as a PDF, email it, or upload it to the cloud.
pdfFiller makes dealing with documents a breeze. Create an account to find out!
Uncompromising security for your PDF editing and eSignature needs
Your private information is safe with pdfFiller. We employ end-to-end encryption, secure cloud storage, and advanced access control to protect your documents and maintain regulatory compliance.
How to fill out online 4h missouri missouri

How to fill out online 4h missouri missouri
01
Go to the official website of 4-H in Missouri.
02
Find the section for online enrollment or registration.
03
Fill out the required personal information such as name, address, and contact details.
04
Select the specific program or event you wish to participate in.
05
Review the information you have entered and submit the form.
06
Pay any necessary fees online if required.
Who needs online 4h missouri missouri?
01
Individuals who wish to participate in 4-H programs or events in Missouri.
02
Parents or guardians of children who are interested in joining 4-H.
Fill
form
: Try Risk Free
For pdfFiller’s FAQs
Below is a list of the most common customer questions. If you can’t find an answer to your question, please don’t hesitate to reach out to us.
How can I edit online 4h missouri missouri from Google Drive?
Simplify your document workflows and create fillable forms right in Google Drive by integrating pdfFiller with Google Docs. The integration will allow you to create, modify, and eSign documents, including online 4h missouri missouri, without leaving Google Drive. Add pdfFiller’s functionalities to Google Drive and manage your paperwork more efficiently on any internet-connected device.
How do I edit online 4h missouri missouri online?
The editing procedure is simple with pdfFiller. Open your online 4h missouri missouri in the editor, which is quite user-friendly. You may use it to blackout, redact, write, and erase text, add photos, draw arrows and lines, set sticky notes and text boxes, and much more.
How do I fill out online 4h missouri missouri on an Android device?
Use the pdfFiller app for Android to finish your online 4h missouri missouri. The application lets you do all the things you need to do with documents, like add, edit, and remove text, sign, annotate, and more. There is nothing else you need except your smartphone and an internet connection to do this.
What is online 4h missouri missouri?
Online 4-H Missouri is an online platform for Missouri 4-H members and volunteers to access resources, track participation, and communicate with others in the program.
Who is required to file online 4h missouri missouri?
All Missouri 4-H members, volunteers, and staff are required to use the online 4-H Missouri platform for tracking their participation and communication within the program.
How to fill out online 4h missouri missouri?
To fill out online 4-H Missouri, members and volunteers must create an account, log in, and input their information, such as projects completed, events attended, and achievements.
What is the purpose of online 4h missouri missouri?
The purpose of online 4-H Missouri is to streamline communication, track participation, and provide resources for Missouri 4-H members and volunteers.
What information must be reported on online 4h missouri missouri?
Information such as project completions, event attendance, achievements, and other activities must be reported on online 4-H Missouri.
Fill out your online 4h missouri missouri online with pdfFiller!
pdfFiller is an end-to-end solution for managing, creating, and editing documents and forms in the cloud. Save time and hassle by preparing your tax forms online.

Online 4h Missouri Missouri is not the form you're looking for?Search for another form here.
Relevant keywords
Related Forms
If you believe that this page should be taken down, please follow our DMCA take down process
here
.
This form may include fields for payment information. Data entered in these fields is not covered by PCI DSS compliance.