Get the free Adoption Release and Indemnity Agreement Please mail c
Show details
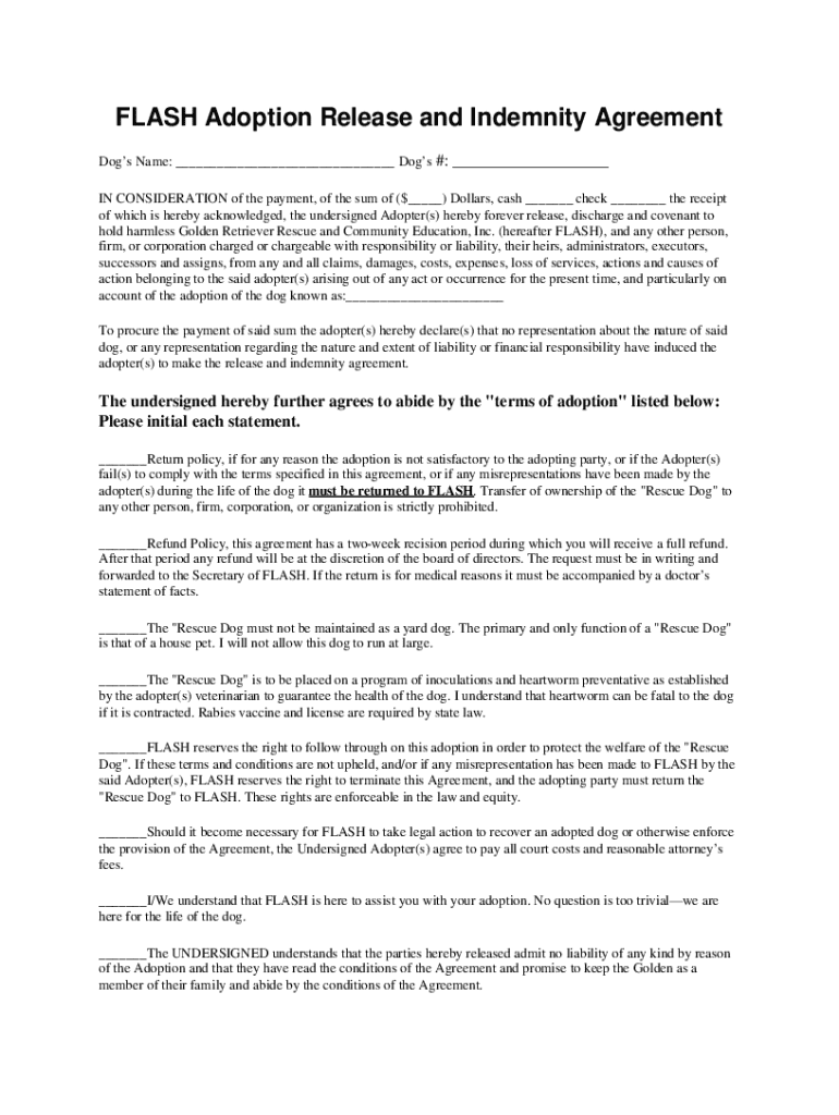
FLASH Adoption Release and Indemnity Agreement Dogs Name: ___ Dogs#: ___IN CONSIDERATION of the payment, of the sum of ($___) Dollars, cash ___ check ___ the receipt of which is hereby acknowledged,
We are not affiliated with any brand or entity on this form
Get, Create, Make and Sign adoption release and indemnity
Edit your adoption release and indemnity form online
Type text, complete fillable fields, insert images, highlight or blackout data for discretion, add comments, and more.
Add your legally-binding signature
Draw or type your signature, upload a signature image, or capture it with your digital camera.
Share your form instantly
Email, fax, or share your adoption release and indemnity form via URL. You can also download, print, or export forms to your preferred cloud storage service.
Editing adoption release and indemnity online
To use the professional PDF editor, follow these steps below:
1
Log in to account. Click on Start Free Trial and sign up a profile if you don't have one.
2
Simply add a document. Select Add New from your Dashboard and import a file into the system by uploading it from your device or importing it via the cloud, online, or internal mail. Then click Begin editing.
3
Edit adoption release and indemnity. Text may be added and replaced, new objects can be included, pages can be rearranged, watermarks and page numbers can be added, and so on. When you're done editing, click Done and then go to the Documents tab to combine, divide, lock, or unlock the file.
4
Get your file. Select the name of your file in the docs list and choose your preferred exporting method. You can download it as a PDF, save it in another format, send it by email, or transfer it to the cloud.
It's easier to work with documents with pdfFiller than you can have believed. You may try it out for yourself by signing up for an account.
Uncompromising security for your PDF editing and eSignature needs
Your private information is safe with pdfFiller. We employ end-to-end encryption, secure cloud storage, and advanced access control to protect your documents and maintain regulatory compliance.
How to fill out adoption release and indemnity
How to fill out adoption release and indemnity
01
Begin by reviewing the adoption release and indemnity form to understand the terms and conditions.
02
Fill out the personal information section including your name, address, and contact information.
03
Provide information about the adopted individual including their name, age, and relationship to you.
04
Sign and date the form to certify that all information provided is accurate and complete.
05
Make a copy of the completed form for your records before submitting it to the appropriate party.
Who needs adoption release and indemnity?
01
Anyone who is adopting a child or pet and wants to formalize the process legally.
02
Organizations or agencies involved in the adoption process may also require adoption release and indemnity.
Fill
form
: Try Risk Free
For pdfFiller’s FAQs
Below is a list of the most common customer questions. If you can’t find an answer to your question, please don’t hesitate to reach out to us.
Where do I find adoption release and indemnity?
It's simple using pdfFiller, an online document management tool. Use our huge online form collection (over 25M fillable forms) to quickly discover the adoption release and indemnity. Open it immediately and start altering it with sophisticated capabilities.
How do I edit adoption release and indemnity online?
pdfFiller allows you to edit not only the content of your files, but also the quantity and sequence of the pages. Upload your adoption release and indemnity to the editor and make adjustments in a matter of seconds. Text in PDFs may be blacked out, typed in, and erased using the editor. You may also include photos, sticky notes, and text boxes, among other things.
Can I edit adoption release and indemnity on an iOS device?
Create, edit, and share adoption release and indemnity from your iOS smartphone with the pdfFiller mobile app. Installing it from the Apple Store takes only a few seconds. You may take advantage of a free trial and select a subscription that meets your needs.
What is adoption release and indemnity?
Adoption release and indemnity is a legal document that relinquishes parental rights and provides protection against future claims or liabilities associated with the adopted child.
Who is required to file adoption release and indemnity?
The adoptive parents and the birth parents are typically required to file the adoption release and indemnity.
How to fill out adoption release and indemnity?
Filling out adoption release and indemnity typically involves providing personal information, details about the child, consent statements, and signatures from all relevant parties.
What is the purpose of adoption release and indemnity?
The purpose is to formalize the relinquishment of parental rights and to provide legal protections for the adoptive parents against claims from the birth parents.
What information must be reported on adoption release and indemnity?
Information such as the names and addresses of the birth and adoptive parents, the child's details, and the terms of the release must be reported.
Fill out your adoption release and indemnity online with pdfFiller!
pdfFiller is an end-to-end solution for managing, creating, and editing documents and forms in the cloud. Save time and hassle by preparing your tax forms online.
Adoption Release And Indemnity is not the form you're looking for?Search for another form here.
Relevant keywords
Related Forms
If you believe that this page should be taken down, please follow our DMCA take down process
here
.
This form may include fields for payment information. Data entered in these fields is not covered by PCI DSS compliance.