Get the free Salaried Staff United Membership Application
Show details
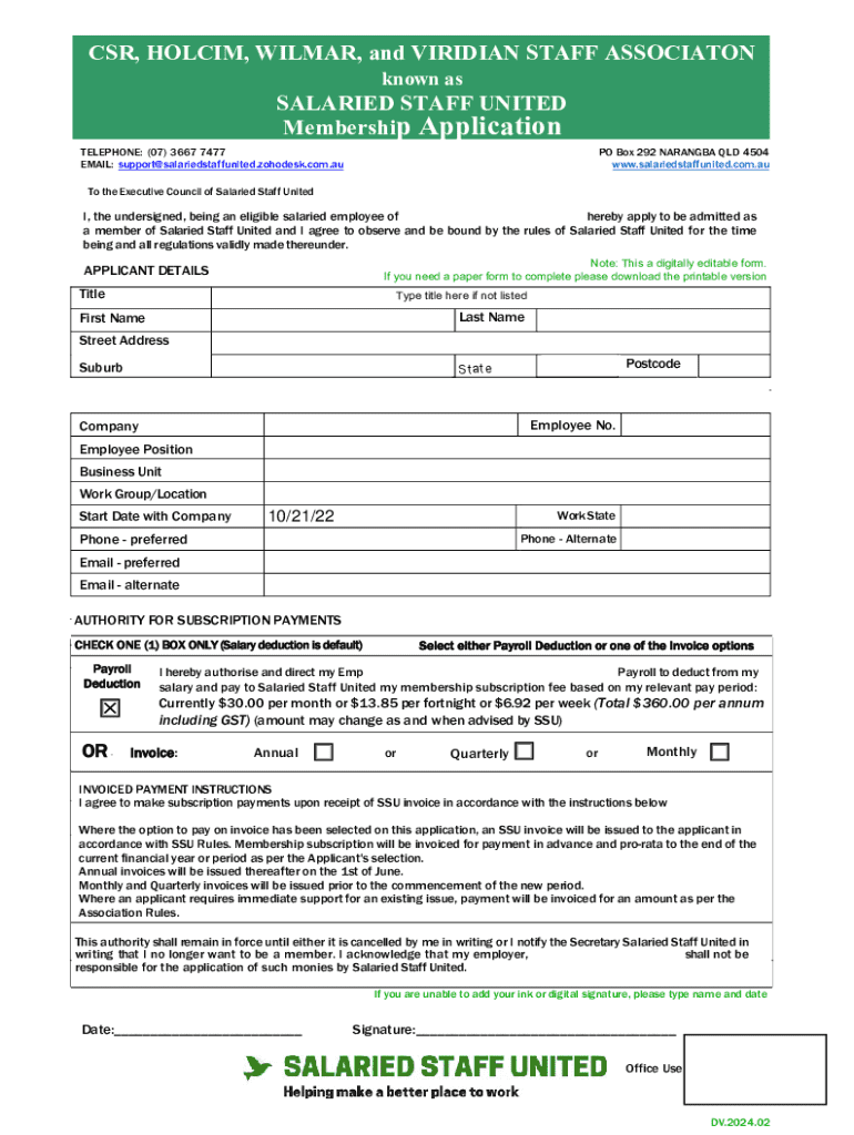
Join Salaried Staff United with this application form to pay membership fees via payroll or invoice. Ensure you\'re part of the community today!
We are not affiliated with any brand or entity on this form
Get, Create, Make and Sign salaried staff united membership
Edit your salaried staff united membership form online
Type text, complete fillable fields, insert images, highlight or blackout data for discretion, add comments, and more.
Add your legally-binding signature
Draw or type your signature, upload a signature image, or capture it with your digital camera.
Share your form instantly
Email, fax, or share your salaried staff united membership form via URL. You can also download, print, or export forms to your preferred cloud storage service.
Editing salaried staff united membership online
To use our professional PDF editor, follow these steps:
1
Register the account. Begin by clicking Start Free Trial and create a profile if you are a new user.
2
Simply add a document. Select Add New from your Dashboard and import a file into the system by uploading it from your device or importing it via the cloud, online, or internal mail. Then click Begin editing.
3
Edit salaried staff united membership. Add and replace text, insert new objects, rearrange pages, add watermarks and page numbers, and more. Click Done when you are finished editing and go to the Documents tab to merge, split, lock or unlock the file.
4
Get your file. Select your file from the documents list and pick your export method. You may save it as a PDF, email it, or upload it to the cloud.
Dealing with documents is always simple with pdfFiller.
Uncompromising security for your PDF editing and eSignature needs
Your private information is safe with pdfFiller. We employ end-to-end encryption, secure cloud storage, and advanced access control to protect your documents and maintain regulatory compliance.
How to fill out salaried staff united membership
How to fill out salaried staff united membership
01
Obtain a membership form from the Salaried Staff United organization.
02
Fill out personal information accurately, including name, address, contact details, and employment information.
03
Provide any required documentation or proof of employment if necessary.
04
Review the membership guidelines and code of conduct.
05
Sign the form and submit it to the designated membership coordinator.
Who needs salaried staff united membership?
01
Salaried employees who are looking to join a collective bargaining unit to negotiate better wages, benefits, and working conditions.
02
Individuals who seek representation and support in the workplace for issues such as unfair treatment, discrimination, or unsafe working conditions.
Fill
form
: Try Risk Free
For pdfFiller’s FAQs
Below is a list of the most common customer questions. If you can’t find an answer to your question, please don’t hesitate to reach out to us.
How can I modify salaried staff united membership without leaving Google Drive?
pdfFiller and Google Docs can be used together to make your documents easier to work with and to make fillable forms right in your Google Drive. The integration will let you make, change, and sign documents, like salaried staff united membership, without leaving Google Drive. Add pdfFiller's features to Google Drive, and you'll be able to do more with your paperwork on any internet-connected device.
How do I make changes in salaried staff united membership?
pdfFiller not only lets you change the content of your files, but you can also change the number and order of pages. Upload your salaried staff united membership to the editor and make any changes in a few clicks. The editor lets you black out, type, and erase text in PDFs. You can also add images, sticky notes, and text boxes, as well as many other things.
Can I create an electronic signature for the salaried staff united membership in Chrome?
Yes, you can. With pdfFiller, you not only get a feature-rich PDF editor and fillable form builder but a powerful e-signature solution that you can add directly to your Chrome browser. Using our extension, you can create your legally-binding eSignature by typing, drawing, or capturing a photo of your signature using your webcam. Choose whichever method you prefer and eSign your salaried staff united membership in minutes.
What is salaried staff united membership?
Salaried staff united membership refers to the collective group of employees who are on a fixed salary rather than hourly wages, typically represented by a union or organization that advocates for their rights and interests.
Who is required to file salaried staff united membership?
Individuals who are employed as salaried staff, typically in managerial or professional roles, and who are eligible for union representation or membership are required to file for salaried staff united membership.
How to fill out salaried staff united membership?
To fill out a salaried staff united membership, employees need to complete a membership application form which usually includes personal information, employment details, and may require a signature to authorize union representation.
What is the purpose of salaried staff united membership?
The purpose of salaried staff united membership is to provide support, representation, and advocacy for salaried employees in their workplace, helping them to negotiate better work conditions, salaries, and benefits.
What information must be reported on salaried staff united membership?
Information that must be reported includes the member's name, contact information, employment position, salary details, and any relevant employment history.
Fill out your salaried staff united membership online with pdfFiller!
pdfFiller is an end-to-end solution for managing, creating, and editing documents and forms in the cloud. Save time and hassle by preparing your tax forms online.
Salaried Staff United Membership is not the form you're looking for?Search for another form here.
Relevant keywords
Related Forms
If you believe that this page should be taken down, please follow our DMCA take down process
here
.
This form may include fields for payment information. Data entered in these fields is not covered by PCI DSS compliance.