Get the free Notice and Request for Sole Source
Show details
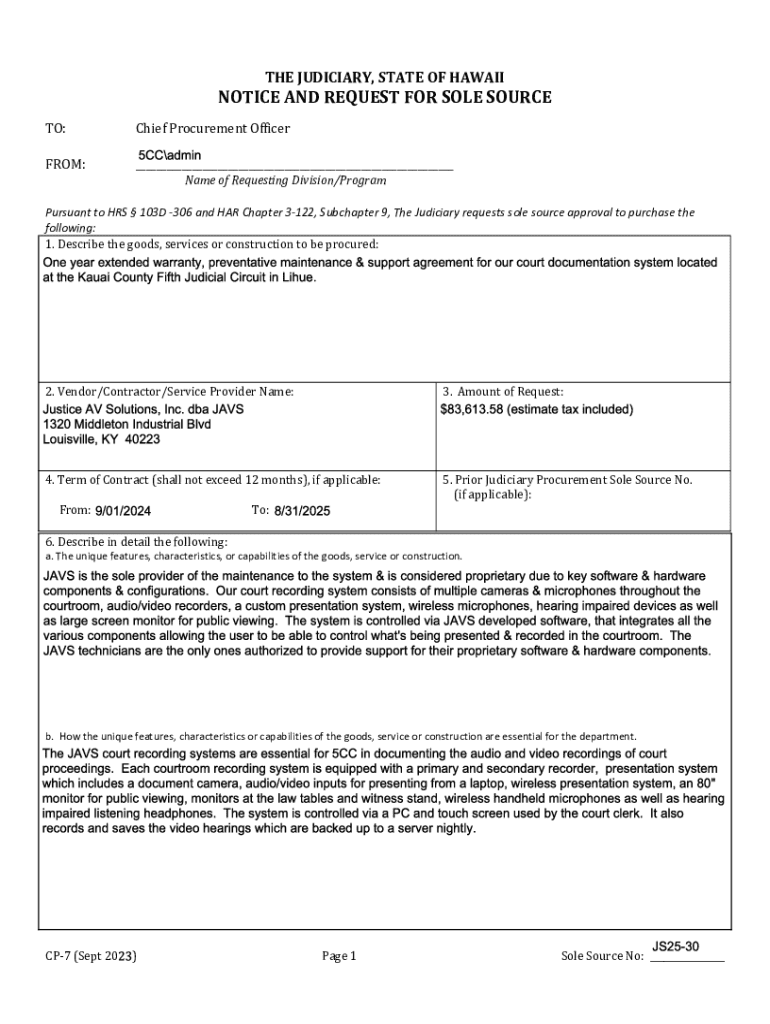
This document details the process for requesting sole source procurement approval within The Judiciary of Hawaii, outlining vendor requirements and necessary approvals.
We are not affiliated with any brand or entity on this form
Get, Create, Make and Sign notice and request for
Edit your notice and request for form online
Type text, complete fillable fields, insert images, highlight or blackout data for discretion, add comments, and more.
Add your legally-binding signature
Draw or type your signature, upload a signature image, or capture it with your digital camera.
Share your form instantly
Email, fax, or share your notice and request for form via URL. You can also download, print, or export forms to your preferred cloud storage service.
Editing notice and request for online
Here are the steps you need to follow to get started with our professional PDF editor:
1
Create an account. Begin by choosing Start Free Trial and, if you are a new user, establish a profile.
2
Simply add a document. Select Add New from your Dashboard and import a file into the system by uploading it from your device or importing it via the cloud, online, or internal mail. Then click Begin editing.
3
Edit notice and request for. Add and replace text, insert new objects, rearrange pages, add watermarks and page numbers, and more. Click Done when you are finished editing and go to the Documents tab to merge, split, lock or unlock the file.
4
Get your file. Select your file from the documents list and pick your export method. You may save it as a PDF, email it, or upload it to the cloud.
pdfFiller makes dealing with documents a breeze. Create an account to find out!
Uncompromising security for your PDF editing and eSignature needs
Your private information is safe with pdfFiller. We employ end-to-end encryption, secure cloud storage, and advanced access control to protect your documents and maintain regulatory compliance.
How to fill out notice and request for
How to fill out notice and request for
01
Fill in your personal information such as name, address, and contact information.
02
Provide details of the notice or request including the reason for the notice and any relevant dates.
03
Be clear and concise in your language to ensure the recipient understands the purpose of the notice or request.
04
Include any supporting documents or evidence if necessary.
Who needs notice and request for?
01
Individuals who need to officially notify someone of a decision or action.
02
Organizations or businesses that need to request information or action from another party.
03
Legal entities that need to document communication for legal purposes.
Fill
form
: Try Risk Free
For pdfFiller’s FAQs
Below is a list of the most common customer questions. If you can’t find an answer to your question, please don’t hesitate to reach out to us.
How can I manage my notice and request for directly from Gmail?
Using pdfFiller's Gmail add-on, you can edit, fill out, and sign your notice and request for and other papers directly in your email. You may get it through Google Workspace Marketplace. Make better use of your time by handling your papers and eSignatures.
How can I send notice and request for to be eSigned by others?
When you're ready to share your notice and request for, you can swiftly email it to others and receive the eSigned document back. You may send your PDF through email, fax, text message, or USPS mail, or you can notarize it online. All of this may be done without ever leaving your account.
How do I complete notice and request for online?
pdfFiller makes it easy to finish and sign notice and request for online. It lets you make changes to original PDF content, highlight, black out, erase, and write text anywhere on a page, legally eSign your form, and more, all from one place. Create a free account and use the web to keep track of professional documents.
What is notice and request for?
Notice and request is a formal communication that indicates a person's intention to inform another party about a specific matter and request action or response regarding that matter.
Who is required to file notice and request for?
Individuals or entities involved in a specific legal process or situation that mandates formal notification and request for action are required to file a notice and request.
How to fill out notice and request for?
To fill out a notice and request, provide accurate information in the required fields, including the names of the involved parties, the nature of the request, relevant dates, and any necessary supporting documentation.
What is the purpose of notice and request for?
The purpose of a notice and request is to ensure that all parties are informed of specific actions or requests and to formally document this communication for legal or administrative purposes.
What information must be reported on notice and request for?
Essential information typically includes the names and contact information of the parties involved, the nature of the request, relevant dates, and any required legal references or case numbers.
Fill out your notice and request for online with pdfFiller!
pdfFiller is an end-to-end solution for managing, creating, and editing documents and forms in the cloud. Save time and hassle by preparing your tax forms online.
Notice And Request For is not the form you're looking for?Search for another form here.
Relevant keywords
Related Forms
If you believe that this page should be taken down, please follow our DMCA take down process
here
.
This form may include fields for payment information. Data entered in these fields is not covered by PCI DSS compliance.