
Get the free Minor Participation Form
Show details
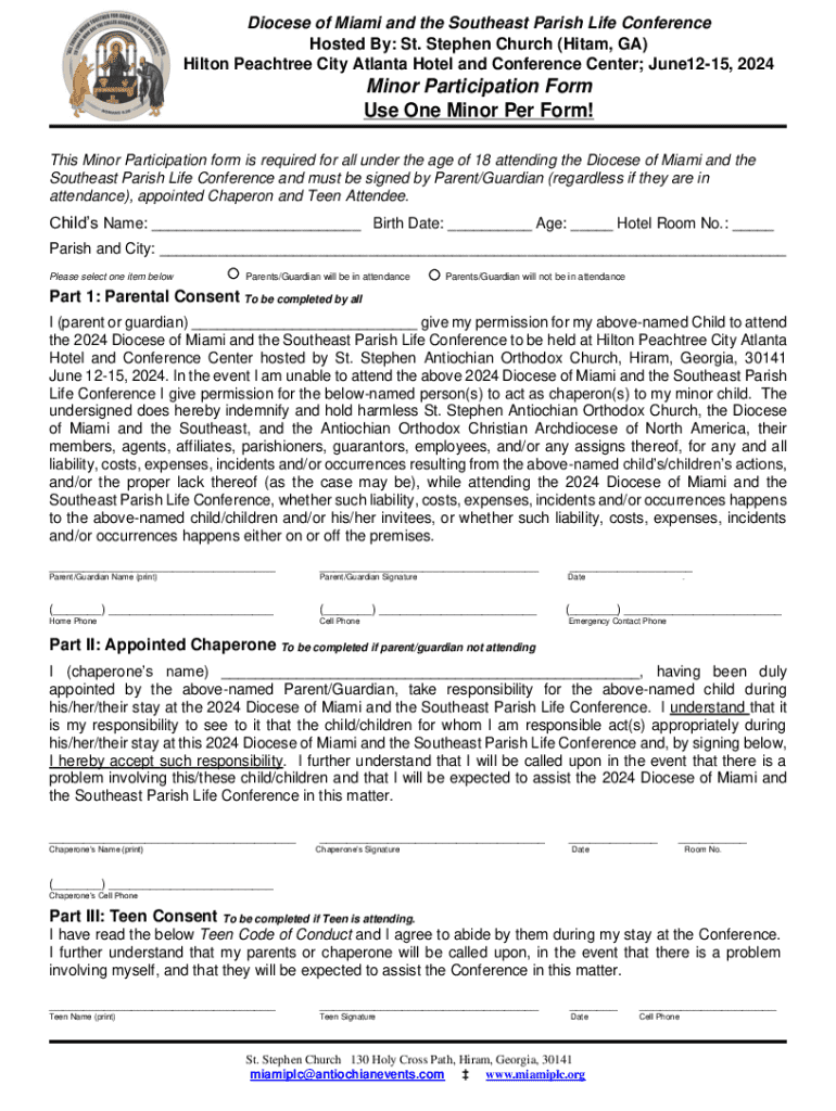
Required form for minors attending the 2024 Diocese of Miami and Southeast Parish Life Conference. Ensure consent from guardians and chaperones.
We are not affiliated with any brand or entity on this form
Get, Create, Make and Sign minor participation form

Edit your minor participation form form online
Type text, complete fillable fields, insert images, highlight or blackout data for discretion, add comments, and more.

Add your legally-binding signature
Draw or type your signature, upload a signature image, or capture it with your digital camera.

Share your form instantly
Email, fax, or share your minor participation form form via URL. You can also download, print, or export forms to your preferred cloud storage service.
How to edit minor participation form online
To use our professional PDF editor, follow these steps:
1
Create an account. Begin by choosing Start Free Trial and, if you are a new user, establish a profile.
2
Upload a file. Select Add New on your Dashboard and upload a file from your device or import it from the cloud, online, or internal mail. Then click Edit.
3
Edit minor participation form. Rearrange and rotate pages, add new and changed texts, add new objects, and use other useful tools. When you're done, click Done. You can use the Documents tab to merge, split, lock, or unlock your files.
4
Get your file. Select the name of your file in the docs list and choose your preferred exporting method. You can download it as a PDF, save it in another format, send it by email, or transfer it to the cloud.
With pdfFiller, it's always easy to deal with documents. Try it right now
Uncompromising security for your PDF editing and eSignature needs
Your private information is safe with pdfFiller. We employ end-to-end encryption, secure cloud storage, and advanced access control to protect your documents and maintain regulatory compliance.
How to fill out minor participation form

How to fill out minor participation form
01
Obtain a copy of the minor participation form from the appropriate organization or institution.
02
Fill out the minor's personal information, such as name, date of birth, and contact details.
03
Provide information about the activity or event the minor will be participating in.
04
Have a legal guardian or parent sign and date the form to give consent for the minor's participation.
05
Submit the completed form to the designated person or department before the deadline.
Who needs minor participation form?
01
Minors who are participating in activities or events that require parental consent.
Fill
form
: Try Risk Free
For pdfFiller’s FAQs
Below is a list of the most common customer questions. If you can’t find an answer to your question, please don’t hesitate to reach out to us.
How can I send minor participation form for eSignature?
To distribute your minor participation form, simply send it to others and receive the eSigned document back instantly. Post or email a PDF that you've notarized online. Doing so requires never leaving your account.
How do I make edits in minor participation form without leaving Chrome?
Install the pdfFiller Google Chrome Extension to edit minor participation form and other documents straight from Google search results. When reading documents in Chrome, you may edit them. Create fillable PDFs and update existing PDFs using pdfFiller.
Can I create an electronic signature for signing my minor participation form in Gmail?
Use pdfFiller's Gmail add-on to upload, type, or draw a signature. Your minor participation form and other papers may be signed using pdfFiller. Register for a free account to preserve signed papers and signatures.
What is minor participation form?
The minor participation form is a document that allows minors to participate in certain activities, such as employment or events, while ensuring compliance with labor laws and regulations.
Who is required to file minor participation form?
Employers or guardians are typically required to file the minor participation form for minors who will be working or participating in specific activities that require formal consent.
How to fill out minor participation form?
The minor participation form is filled out by providing the minor's personal information, details of the activity or employment, and obtaining required signatures from the guardian or parent.
What is the purpose of minor participation form?
The purpose of the minor participation form is to legally document the consent of a parent or guardian, ensuring that the minor's rights are protected while participating in activities or employment.
What information must be reported on minor participation form?
The information that must be reported includes the minor's name, age, contact information, details of the activity or employment, and signatures of the parent or guardian.
Fill out your minor participation form online with pdfFiller!
pdfFiller is an end-to-end solution for managing, creating, and editing documents and forms in the cloud. Save time and hassle by preparing your tax forms online.

Minor Participation Form is not the form you're looking for?Search for another form here.
Relevant keywords
Related Forms
If you believe that this page should be taken down, please follow our DMCA take down process
here
.
This form may include fields for payment information. Data entered in these fields is not covered by PCI DSS compliance.