Get the free The Apache Software Foundation Announces Program ...
Show details
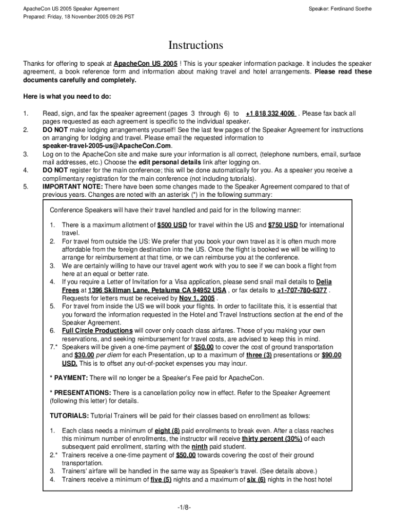
Pacheco US 2005 Speaker AgreementSpeaker: Ferdinand SoethePrepared: Friday, 18 November 2005 09:26 Instructions
Thanks for offering to speak at Pacheco US 2005 ! This is your speaker information package.
We are not affiliated with any brand or entity on this form
Get, Create, Make and Sign form apache software foundation
Edit your form apache software foundation form online
Type text, complete fillable fields, insert images, highlight or blackout data for discretion, add comments, and more.
Add your legally-binding signature
Draw or type your signature, upload a signature image, or capture it with your digital camera.
Share your form instantly
Email, fax, or share your form apache software foundation form via URL. You can also download, print, or export forms to your preferred cloud storage service.
How to edit form apache software foundation online
Here are the steps you need to follow to get started with our professional PDF editor:
1
Check your account. If you don't have a profile yet, click Start Free Trial and sign up for one.
2
Upload a file. Select Add New on your Dashboard and upload a file from your device or import it from the cloud, online, or internal mail. Then click Edit.
3
Edit form apache software foundation. Add and replace text, insert new objects, rearrange pages, add watermarks and page numbers, and more. Click Done when you are finished editing and go to the Documents tab to merge, split, lock or unlock the file.
4
Save your file. Choose it from the list of records. Then, shift the pointer to the right toolbar and select one of the several exporting methods: save it in multiple formats, download it as a PDF, email it, or save it to the cloud.
With pdfFiller, it's always easy to work with documents.
Uncompromising security for your PDF editing and eSignature needs
Your private information is safe with pdfFiller. We employ end-to-end encryption, secure cloud storage, and advanced access control to protect your documents and maintain regulatory compliance.
How to fill out form apache software foundation
How to fill out form apache software foundation
01
Visit the Apache Software Foundation website.
02
Locate the section for form submissions.
03
Download or access the required form.
04
Read the instructions carefully before filling out the form.
05
Enter your personal information in the appropriate fields.
06
Provide details related to your submission or request.
07
Review all the entered information for accuracy.
08
Save or print a copy of the completed form for your records.
09
Submit the form as instructed, whether online or by mail.
Who needs form apache software foundation?
01
Individuals or organizations seeking to propose a new project to the Apache Software Foundation.
02
Contributors wishing to submit a change or improvement to an existing project.
03
Developers needing to request resources or support from the foundation.
04
Community members wanting to make official requests or inquiries.
Fill
form
: Try Risk Free
For pdfFiller’s FAQs
Below is a list of the most common customer questions. If you can’t find an answer to your question, please don’t hesitate to reach out to us.
How do I edit form apache software foundation online?
pdfFiller not only lets you change the content of your files, but you can also change the number and order of pages. Upload your form apache software foundation to the editor and make any changes in a few clicks. The editor lets you black out, type, and erase text in PDFs. You can also add images, sticky notes, and text boxes, as well as many other things.
How do I edit form apache software foundation in Chrome?
Download and install the pdfFiller Google Chrome Extension to your browser to edit, fill out, and eSign your form apache software foundation, which you can open in the editor with a single click from a Google search page. Fillable documents may be executed from any internet-connected device without leaving Chrome.
Can I edit form apache software foundation on an iOS device?
Create, edit, and share form apache software foundation from your iOS smartphone with the pdfFiller mobile app. Installing it from the Apple Store takes only a few seconds. You may take advantage of a free trial and select a subscription that meets your needs.
What is form apache software foundation?
The form relating to the Apache Software Foundation typically refers to documentation used for project management, membership, or funding requests within the organization.
Who is required to file form apache software foundation?
Individuals or organizations involved with projects under the Apache Software Foundation or those looking to become members may be required to file the form.
How to fill out form apache software foundation?
To fill out the form, provide the necessary information as requested, including personal or organizational details, project specifics, and any other relevant data required by the Foundation.
What is the purpose of form apache software foundation?
The purpose of the form is to ensure proper documentation and management of projects, funding, and membership within the Apache Software Foundation.
What information must be reported on form apache software foundation?
The form typically requires information including project descriptions, names of contributors or members, funding requests, and compliance with Apache policies.
Fill out your form apache software foundation online with pdfFiller!
pdfFiller is an end-to-end solution for managing, creating, and editing documents and forms in the cloud. Save time and hassle by preparing your tax forms online.
Form Apache Software Foundation is not the form you're looking for?Search for another form here.
Relevant keywords
Related Forms
If you believe that this page should be taken down, please follow our DMCA take down process
here
.
This form may include fields for payment information. Data entered in these fields is not covered by PCI DSS compliance.