Get the free Non Probate Transfer
Show details
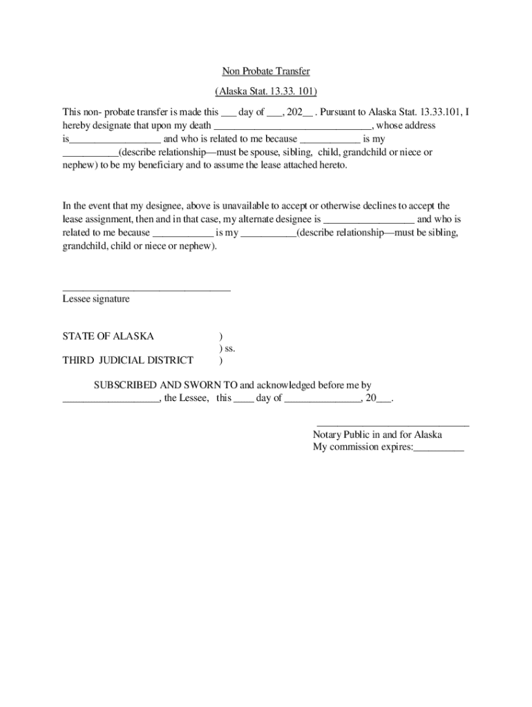
This document allows for non-probate transfer in Alaska, appointing a beneficiary for lease assignment upon death, as per Alaska Stat. 13.33.101.
We are not affiliated with any brand or entity on this form
Get, Create, Make and Sign non probate transfer
Edit your non probate transfer form online
Type text, complete fillable fields, insert images, highlight or blackout data for discretion, add comments, and more.
Add your legally-binding signature
Draw or type your signature, upload a signature image, or capture it with your digital camera.
Share your form instantly
Email, fax, or share your non probate transfer form via URL. You can also download, print, or export forms to your preferred cloud storage service.
Editing non probate transfer online
To use our professional PDF editor, follow these steps:
1
Set up an account. If you are a new user, click Start Free Trial and establish a profile.
2
Upload a document. Select Add New on your Dashboard and transfer a file into the system in one of the following ways: by uploading it from your device or importing from the cloud, web, or internal mail. Then, click Start editing.
3
Edit non probate transfer. Rearrange and rotate pages, add new and changed texts, add new objects, and use other useful tools. When you're done, click Done. You can use the Documents tab to merge, split, lock, or unlock your files.
4
Save your file. Select it from your list of records. Then, move your cursor to the right toolbar and choose one of the exporting options. You can save it in multiple formats, download it as a PDF, send it by email, or store it in the cloud, among other things.
pdfFiller makes working with documents easier than you could ever imagine. Try it for yourself by creating an account!
Uncompromising security for your PDF editing and eSignature needs
Your private information is safe with pdfFiller. We employ end-to-end encryption, secure cloud storage, and advanced access control to protect your documents and maintain regulatory compliance.
Fill
form
: Try Risk Free
For pdfFiller’s FAQs
Below is a list of the most common customer questions. If you can’t find an answer to your question, please don’t hesitate to reach out to us.
Can I sign the non probate transfer electronically in Chrome?
You certainly can. You get not just a feature-rich PDF editor and fillable form builder with pdfFiller, but also a robust e-signature solution that you can add right to your Chrome browser. You may use our addon to produce a legally enforceable eSignature by typing, sketching, or photographing your signature with your webcam. Choose your preferred method and eSign your non probate transfer in minutes.
How do I fill out the non probate transfer form on my smartphone?
The pdfFiller mobile app makes it simple to design and fill out legal paperwork. Complete and sign non probate transfer and other papers using the app. Visit pdfFiller's website to learn more about the PDF editor's features.
How do I complete non probate transfer on an Android device?
Complete non probate transfer and other documents on your Android device with the pdfFiller app. The software allows you to modify information, eSign, annotate, and share files. You may view your papers from anywhere with an internet connection.
What is non probate transfer?
Non probate transfer refers to the process of transferring ownership of assets without going through probate, typically using mechanisms like joint ownership, payable-on-death accounts, or trusts.
Who is required to file non probate transfer?
Typically, individuals or entities that have received assets via non probate means, such as beneficiaries of a trust or survivors of joint ownership accounts, are required to report these transfers as dictated by local laws.
How to fill out non probate transfer?
Filling out a non probate transfer usually involves completing a specific form provided by the local government or probate court, which may require information about the assets, the deceased, and the beneficiaries.
What is the purpose of non probate transfer?
The purpose of non probate transfer is to facilitate the swift and efficient transfer of assets to beneficiaries without the delays and costs associated with the probate process.
What information must be reported on non probate transfer?
Information typically required includes the names and contact details of the transferor and transferee, a description of the assets transferred, and relevant dates.
Fill out your non probate transfer online with pdfFiller!
pdfFiller is an end-to-end solution for managing, creating, and editing documents and forms in the cloud. Save time and hassle by preparing your tax forms online.
Non Probate Transfer is not the form you're looking for?Search for another form here.
Relevant keywords
Related Forms
If you believe that this page should be taken down, please follow our DMCA take down process
here
.
This form may include fields for payment information. Data entered in these fields is not covered by PCI DSS compliance.