Get the free Senate Bill 395 Committee Action Document
Show details
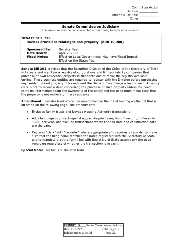
This document discusses Senate Bill 395, which requires corporations to register when purchasing residential properties in Nevada, including amendments for investor limitations.
We are not affiliated with any brand or entity on this form
Get, Create, Make and Sign senate bill 395 committee
Edit your senate bill 395 committee form online
Type text, complete fillable fields, insert images, highlight or blackout data for discretion, add comments, and more.
Add your legally-binding signature
Draw or type your signature, upload a signature image, or capture it with your digital camera.
Share your form instantly
Email, fax, or share your senate bill 395 committee form via URL. You can also download, print, or export forms to your preferred cloud storage service.
How to edit senate bill 395 committee online
Follow the guidelines below to benefit from the PDF editor's expertise:
1
Set up an account. If you are a new user, click Start Free Trial and establish a profile.
2
Prepare a file. Use the Add New button. Then upload your file to the system from your device, importing it from internal mail, the cloud, or by adding its URL.
3
Edit senate bill 395 committee. Add and change text, add new objects, move pages, add watermarks and page numbers, and more. Then click Done when you're done editing and go to the Documents tab to merge or split the file. If you want to lock or unlock the file, click the lock or unlock button.
4
Save your file. Select it from your list of records. Then, move your cursor to the right toolbar and choose one of the exporting options. You can save it in multiple formats, download it as a PDF, send it by email, or store it in the cloud, among other things.
It's easier to work with documents with pdfFiller than you could have ever thought. Sign up for a free account to view.
Uncompromising security for your PDF editing and eSignature needs
Your private information is safe with pdfFiller. We employ end-to-end encryption, secure cloud storage, and advanced access control to protect your documents and maintain regulatory compliance.
Fill
form
: Try Risk Free
For pdfFiller’s FAQs
Below is a list of the most common customer questions. If you can’t find an answer to your question, please don’t hesitate to reach out to us.
How can I edit senate bill 395 committee from Google Drive?
By integrating pdfFiller with Google Docs, you can streamline your document workflows and produce fillable forms that can be stored directly in Google Drive. Using the connection, you will be able to create, change, and eSign documents, including senate bill 395 committee, all without having to leave Google Drive. Add pdfFiller's features to Google Drive and you'll be able to handle your documents more effectively from any device with an internet connection.
How can I send senate bill 395 committee for eSignature?
Once you are ready to share your senate bill 395 committee, you can easily send it to others and get the eSigned document back just as quickly. Share your PDF by email, fax, text message, or USPS mail, or notarize it online. You can do all of this without ever leaving your account.
How do I edit senate bill 395 committee on an Android device?
You can. With the pdfFiller Android app, you can edit, sign, and distribute senate bill 395 committee from anywhere with an internet connection. Take use of the app's mobile capabilities.
What is senate bill 395 committee?
Senate Bill 395 committee refers to a legislative committee that is responsible for reviewing and analyzing Senate Bill 395, which relates to specific legal or regulatory issues as defined in the bill.
Who is required to file senate bill 395 committee?
Typically, individuals or organizations affected by the provisions of Senate Bill 395 or those who have a vested interest in the bill's outcomes are required to file with the committee.
How to fill out senate bill 395 committee?
To fill out the Senate Bill 395 committee form, individuals should provide detailed information as required by the bill, including pertinent personal or organizational data and any relevant specifics outlined by the legislative guidelines.
What is the purpose of senate bill 395 committee?
The purpose of the Senate Bill 395 committee is to evaluate the implications of the legislation, gather public input, and make recommendations to the legislature regarding its adoption or modification.
What information must be reported on senate bill 395 committee?
Information that must be reported typically includes the identity of the filer, a description of the issue at hand, any quantitative data related to the bill's impact, and a summary of the comments or testimonies received.
Fill out your senate bill 395 committee online with pdfFiller!
pdfFiller is an end-to-end solution for managing, creating, and editing documents and forms in the cloud. Save time and hassle by preparing your tax forms online.
Senate Bill 395 Committee is not the form you're looking for?Search for another form here.
Relevant keywords
Related Forms
If you believe that this page should be taken down, please follow our DMCA take down process
here
.
This form may include fields for payment information. Data entered in these fields is not covered by PCI DSS compliance.