Get the free Blog Archives - NEWTON BATEMAN ELEMENTARY SCHOOL - batemanps wa edu
Show details
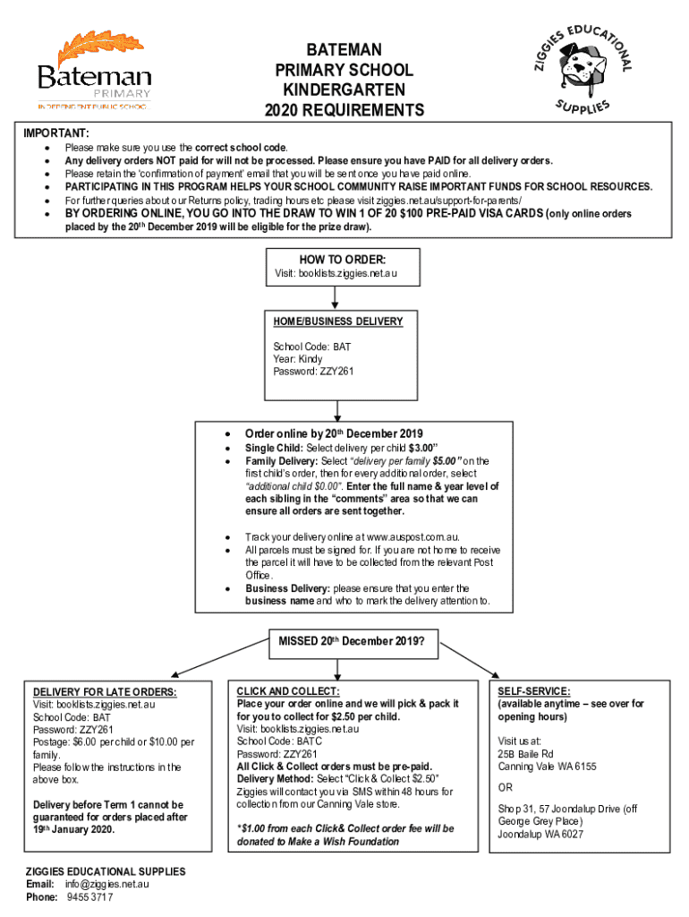
BATEMAN PRIMARY SCHOOL KINDERGARTEN 2020 REQUIREMENTS IMPORTANT: Please make sure you use the correct school code. Any delivery orders NOT paid for will not be processed. Please ensure you have PAID
We are not affiliated with any brand or entity on this form
Get, Create, Make and Sign blog archives - newton
Edit your blog archives - newton form online
Type text, complete fillable fields, insert images, highlight or blackout data for discretion, add comments, and more.
Add your legally-binding signature
Draw or type your signature, upload a signature image, or capture it with your digital camera.
Share your form instantly
Email, fax, or share your blog archives - newton form via URL. You can also download, print, or export forms to your preferred cloud storage service.
How to edit blog archives - newton online
To use the professional PDF editor, follow these steps below:
1
Set up an account. If you are a new user, click Start Free Trial and establish a profile.
2
Prepare a file. Use the Add New button to start a new project. Then, using your device, upload your file to the system by importing it from internal mail, the cloud, or adding its URL.
3
Edit blog archives - newton. Add and change text, add new objects, move pages, add watermarks and page numbers, and more. Then click Done when you're done editing and go to the Documents tab to merge or split the file. If you want to lock or unlock the file, click the lock or unlock button.
4
Get your file. Select your file from the documents list and pick your export method. You may save it as a PDF, email it, or upload it to the cloud.
With pdfFiller, it's always easy to work with documents.
Uncompromising security for your PDF editing and eSignature needs
Your private information is safe with pdfFiller. We employ end-to-end encryption, secure cloud storage, and advanced access control to protect your documents and maintain regulatory compliance.
Fill
form
: Try Risk Free
For pdfFiller’s FAQs
Below is a list of the most common customer questions. If you can’t find an answer to your question, please don’t hesitate to reach out to us.
How can I edit blog archives - newton from Google Drive?
By combining pdfFiller with Google Docs, you can generate fillable forms directly in Google Drive. No need to leave Google Drive to make edits or sign documents, including blog archives - newton. Use pdfFiller's features in Google Drive to handle documents on any internet-connected device.
How do I fill out the blog archives - newton form on my smartphone?
On your mobile device, use the pdfFiller mobile app to complete and sign blog archives - newton. Visit our website (https://edit-pdf-ios-android.pdffiller.com/) to discover more about our mobile applications, the features you'll have access to, and how to get started.
How can I fill out blog archives - newton on an iOS device?
pdfFiller has an iOS app that lets you fill out documents on your phone. A subscription to the service means you can make an account or log in to one you already have. As soon as the registration process is done, upload your blog archives - newton. You can now use pdfFiller's more advanced features, like adding fillable fields and eSigning documents, as well as accessing them from any device, no matter where you are in the world.
What is blog archives - newton?
Blog archives - newton refer to the documented records of blog posts and activities associated with the Newton platform, allowing users to access past content and historical data.
Who is required to file blog archives - newton?
Individuals and organizations that maintain a blog on the Newton platform may be required to file blog archives for compliance with content management regulations.
How to fill out blog archives - newton?
To fill out blog archives - newton, users must organize their blog content chronologically, categorize posts, and ensure all relevant metadata is included for each entry.
What is the purpose of blog archives - newton?
The purpose of blog archives - newton is to provide a structured history of blog content, making it easier for users to locate and reference past posts and engagements.
What information must be reported on blog archives - newton?
Information that must be reported on blog archives - newton includes post titles, publication dates, authorship, categories, and tags associated with the blog entries.
Fill out your blog archives - newton online with pdfFiller!
pdfFiller is an end-to-end solution for managing, creating, and editing documents and forms in the cloud. Save time and hassle by preparing your tax forms online.
Blog Archives - Newton is not the form you're looking for?Search for another form here.
Relevant keywords
Related Forms
If you believe that this page should be taken down, please follow our DMCA take down process
here
.
This form may include fields for payment information. Data entered in these fields is not covered by PCI DSS compliance.