Get the free Navigating Lease Agreements for Small Acreage, High Value ...
Show details
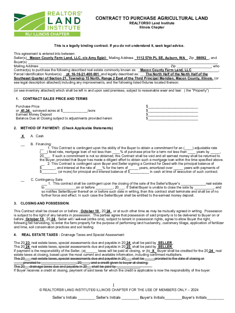
CONTRACT TO PURCHASE AGRICULTURAL LAND REALTORS Land Institute Illinois ChapterThis is a legally binding contract. If you do not understand it, seek legal advice. This agreement is entered into between:
We are not affiliated with any brand or entity on this form
Get, Create, Make and Sign navigating lease agreements for
Edit your navigating lease agreements for form online
Type text, complete fillable fields, insert images, highlight or blackout data for discretion, add comments, and more.
Add your legally-binding signature
Draw or type your signature, upload a signature image, or capture it with your digital camera.
Share your form instantly
Email, fax, or share your navigating lease agreements for form via URL. You can also download, print, or export forms to your preferred cloud storage service.
Editing navigating lease agreements for online
Here are the steps you need to follow to get started with our professional PDF editor:
1
Set up an account. If you are a new user, click Start Free Trial and establish a profile.
2
Simply add a document. Select Add New from your Dashboard and import a file into the system by uploading it from your device or importing it via the cloud, online, or internal mail. Then click Begin editing.
3
Edit navigating lease agreements for. Add and change text, add new objects, move pages, add watermarks and page numbers, and more. Then click Done when you're done editing and go to the Documents tab to merge or split the file. If you want to lock or unlock the file, click the lock or unlock button.
4
Get your file. Select your file from the documents list and pick your export method. You may save it as a PDF, email it, or upload it to the cloud.
Dealing with documents is always simple with pdfFiller.
Uncompromising security for your PDF editing and eSignature needs
Your private information is safe with pdfFiller. We employ end-to-end encryption, secure cloud storage, and advanced access control to protect your documents and maintain regulatory compliance.
How to fill out navigating lease agreements for
How to fill out navigating lease agreements for
01
Read the lease agreement thoroughly to understand the terms and conditions.
02
Identify important sections such as rent amount, lease duration, and termination clauses.
03
Take note of any fees or deposits required and their refund conditions.
04
Ensure understanding of maintenance responsibilities for both the tenant and landlord.
05
Check for any restrictions like pet policies or subleasing rules.
06
Clarify any vague language by asking the landlord or a real estate professional.
07
Sign the lease and keep a copy for personal records.
Who needs navigating lease agreements for?
01
Tenants looking to rent residential or commercial properties.
02
Landlords wanting to ensure their agreements are clear and enforceable.
03
Real estate agents assisting clients in navigating the leasing process.
04
Lawyers providing legal counsel on lease agreements.
05
Students seeking housing during their academic tenure.
Fill
form
: Try Risk Free
For pdfFiller’s FAQs
Below is a list of the most common customer questions. If you can’t find an answer to your question, please don’t hesitate to reach out to us.
How do I make changes in navigating lease agreements for?
The editing procedure is simple with pdfFiller. Open your navigating lease agreements for in the editor. You may also add photos, draw arrows and lines, insert sticky notes and text boxes, and more.
Can I create an electronic signature for the navigating lease agreements for in Chrome?
As a PDF editor and form builder, pdfFiller has a lot of features. It also has a powerful e-signature tool that you can add to your Chrome browser. With our extension, you can type, draw, or take a picture of your signature with your webcam to make your legally-binding eSignature. Choose how you want to sign your navigating lease agreements for and you'll be done in minutes.
How do I fill out navigating lease agreements for on an Android device?
On Android, use the pdfFiller mobile app to finish your navigating lease agreements for. Adding, editing, deleting text, signing, annotating, and more are all available with the app. All you need is a smartphone and internet.
What is navigating lease agreements for?
Navigating lease agreements is for understanding and managing the terms, conditions, and responsibilities outlined in lease contracts between landlords and tenants.
Who is required to file navigating lease agreements for?
Landlords, property managers, and tenants who enter into lease agreements are typically required to file navigating lease agreements.
How to fill out navigating lease agreements for?
To fill out navigating lease agreements, one must provide accurate information regarding the parties involved, property details, lease terms, and any specific clauses relevant to the agreement.
What is the purpose of navigating lease agreements for?
The purpose of navigating lease agreements is to ensure all parties understand their rights and obligations, to prevent disputes, and to clarify the expectations of the lease terms.
What information must be reported on navigating lease agreements for?
Information required to be reported includes the names of all parties involved, lease duration, payment terms, and any specific rules or provisions related to the leased property.
Fill out your navigating lease agreements for online with pdfFiller!
pdfFiller is an end-to-end solution for managing, creating, and editing documents and forms in the cloud. Save time and hassle by preparing your tax forms online.
Navigating Lease Agreements For is not the form you're looking for?Search for another form here.
Relevant keywords
Related Forms
If you believe that this page should be taken down, please follow our DMCA take down process
here
.
This form may include fields for payment information. Data entered in these fields is not covered by PCI DSS compliance.