Form preview

Get the free Sub-committee Terms of Reference template

Get Form
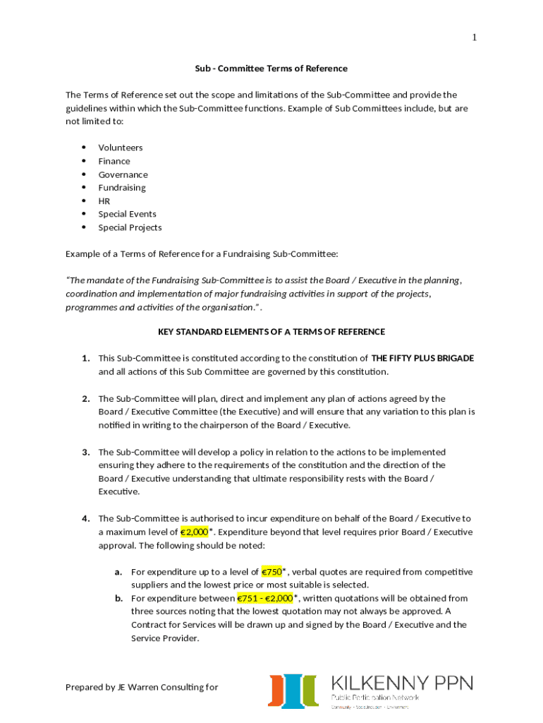
This document outlines the scope, limitations, and guidelines for the functioning of various Sub-Committees formed under the auspices of THE FIFTY PLUS BRIGADE. It includes standard elements, responsibilities, membership details, policies for expenditure, and procedural requirements for decision-making and meetings.
We are not affiliated with any brand or entity on this form

Get, Create, Make and Sign sub-committee terms of reference

Edit
Edit your sub-committee terms of reference form online
Type text, complete fillable fields, insert images, highlight or blackout data for discretion, add comments, and more.
Add
Add your legally-binding signature
Draw or type your signature, upload a signature image, or capture it with your digital camera.
Share
Share your form instantly
Email, fax, or share your sub-committee terms of reference form via URL. You can also download, print, or export forms to your preferred cloud storage service.

Editing sub-committee terms of reference online

9.5
Ease of Setup
pdfFiller User Ratings on G2
9.0
Ease of Use
pdfFiller User Ratings on G2
To use the professional PDF editor, follow these steps below:
1
Register the account. Begin by clicking Start Free Trial and create a profile if you are a new user.
2
Simply add a document. Select Add New from your Dashboard and import a file into the system by uploading it from your device or importing it via the cloud, online, or internal mail. Then click Begin editing.
3
Edit sub-committee terms of reference. Add and replace text, insert new objects, rearrange pages, add watermarks and page numbers, and more. Click Done when you are finished editing and go to the Documents tab to merge, split, lock or unlock the file.
4
Get your file. When you find your file in the docs list, click on its name and choose how you want to save it. To get the PDF, you can save it, send an email with it, or move it to the cloud.
pdfFiller makes dealing with documents a breeze. Create an account to find out!

Uncompromising security for your PDF editing and eSignature needs

Your private information is safe with pdfFiller. We employ end-to-end encryption, secure cloud storage, and advanced access control to protect your documents and maintain regulatory compliance.
GDPR
AICPA SOC 2
PCI
HIPAA
CCPA
FDA

How to fill out sub-committee terms of reference

Illustration

How to fill out sub-committee terms of reference

01
Identify the purpose of the sub-committee.
02
Define the scope of work and specific responsibilities.
03
Outline the composition of the sub-committee, including member roles.
04
Establish reporting requirements and frequency of meetings.
05
Set timelines for tasks and deliverables.
06
Specify the decision-making process and authority.
07
Include any relevant guidelines or regulations.

Who needs sub-committee terms of reference?

01
Board members who require clarity on sub-committee operations.
02
Organizational leaders responsible for governance.
03
Stakeholders who are affected by the sub-committee's decisions.

What is Sub-committee Terms of Reference Form?

The Sub-committee Terms of Reference is a document that has to be filled-out and signed for specified purposes. Then, it is provided to the exact addressee in order to provide some info of certain kinds. The completion and signing can be done in hard copy or with a suitable service like PDFfiller. Such applications help to fill out any PDF or Word file online. It also lets you edit it depending on the needs you have and put an official legal e-signature. Upon finishing, the user ought to send the Sub-committee Terms of Reference to the respective recipient or several ones by email or fax. PDFfiller provides a feature and options that make your document of MS Word extension printable. It provides various options when printing out appearance. It does no matter how you will file a form - in hard copy or electronically - it will always look professional and firm. In order not to create a new file from the beginning again and again, make the original Word file into a template. Later, you will have a customizable sample.

Instructions for the Sub-committee Terms of Reference form

Before starting to fill out Sub-committee Terms of Reference .doc form, make sure that you prepared all the necessary information. It is a mandatory part, since errors may bring unpleasant consequences starting with re-submission of the whole word template and completing with deadlines missed and you might be charged a penalty fee. You need to be especially observative when writing down figures. At a glimpse, this task seems to be dead simple thing. But nevertheless, it is simple to make a mistake. Some use such lifehack as saving everything in a separate file or a record book and then attach it into documents' sample. Nonetheless, put your best with all efforts and present accurate and solid data with your Sub-committee Terms of Reference word template, and doublecheck it when filling out all necessary fields. If you find any mistakes later, you can easily make amends when you use PDFfiller editor and avoid missing deadlines.

Sub-committee Terms of Reference word template: frequently asked questions

1. I need to fill out the file with very sensitive data. Shall I use online solutions to do that, or it's not that safe?

Solutions dealing with personal information (even intel one) like PDFfiller are obliged to give safety measures to customers. They include the following features:

  • Cloud storage where all information is kept protected with basic an layered encryption. The user is the only person who is free to access their personal documents. Doorways to steal this information is strictly prohibited.
  • To prevent identity theft, every file obtains its unique ID number once signed.
  • Users can use some extra security features. They manage you to request the two-factor authentication for every user trying to read, annotate or edit your file. In PDFfiller you can store fillable templates in folders protected with layered encryption.

2. Have never heard of e-signatures. Are they the same comparing to physical ones?

Yes, it is completely legal. After ESIGN Act released in 2000, a digital signature is considered like physical one is. You can fill out a writable document and sign it, and to official businesses it will be the same as if you signed a hard copy with pen, old-fashioned. You can use electronic signature with whatever form you like, including form Sub-committee Terms of Reference. Be certain that it corresponds to all legal requirements like PDFfiller does.

3. Can I copy the available information and extract it to the form?

In PDFfiller, there is a feature called Fill in Bulk. It helps to extract data from the available document to the online word template. The key advantage of this feature is that you can excerpt information from the Excel spreadsheet and move it to the document that you’re submitting with PDFfiller.

Fill form : Try Risk Free
Users Most Likely To Recommend - Summer 2025
Grid Leader in Small-Business - Summer 2025
High Performer - Summer 2025
Regional Leader - Summer 2025
Easiest To Do Business With - Summer 2025
Best Meets Requirements- Summer 2025
Rate the form
4.3
Satisfied
38 Votes

For pdfFiller’s FAQs

Below is a list of the most common customer questions. If you can’t find an answer to your question, please don’t hesitate to reach out to us.

The pdfFiller premium subscription gives you access to a large library of fillable forms (over 25 million fillable templates) that you can download, fill out, print, and sign. In the library, you'll have no problem discovering state-specific sub-committee terms of reference and other forms. Find the template you want and tweak it with powerful editing tools.
Upload, type, or draw a signature in Gmail with the help of pdfFiller’s add-on. pdfFiller enables you to eSign your sub-committee terms of reference and other documents right in your inbox. Register your account in order to save signed documents and your personal signatures.
Use the pdfFiller mobile app to create, edit, and share sub-committee terms of reference from your iOS device. Install it from the Apple Store in seconds. You can benefit from a free trial and choose a subscription that suits your needs.
The sub-committee terms of reference is a document that outlines the goals, responsibilities, and operational guidelines of a sub-committee within an organization.
Typically, the members of the sub-committee or the organization overseeing the sub-committee are required to file the terms of reference.
To fill out the sub-committee terms of reference, outline the committee's objectives, jurisdiction, structure, membership, and procedures for meetings, decision-making, and reporting.
The purpose is to clearly define the scope, authority, and responsibilities of the sub-committee, ensuring alignment with the larger organizational goals.
Information that must be reported includes the sub-committee's purpose, objectives, membership, authority, meeting frequency, and any specific tasks assigned.
Fill out your sub-committee terms of reference online with pdfFiller!

pdfFiller is an end-to-end solution for managing, creating, and editing documents and forms in the cloud. Save time and hassle by preparing your tax forms online.

Get started now
Form preview
If you believe that this page should be taken down, please follow our DMCA take down process here .
This form may include fields for payment information. Data entered in these fields is not covered by PCI DSS compliance.