Get the free Business Enterprise Program Rule Amendment
Show details
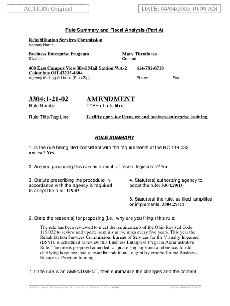
This document outlines an amendment to the Business Enterprise Program rule, focusing on updating language, clarifying eligibility criteria, and ensuring compliance with Ohio Revised Code 119.032 for periodic review of administrative rules.
We are not affiliated with any brand or entity on this form
Get, Create, Make and Sign business enterprise program rule
Edit your business enterprise program rule form online
Type text, complete fillable fields, insert images, highlight or blackout data for discretion, add comments, and more.
Add your legally-binding signature
Draw or type your signature, upload a signature image, or capture it with your digital camera.
Share your form instantly
Email, fax, or share your business enterprise program rule form via URL. You can also download, print, or export forms to your preferred cloud storage service.
Editing business enterprise program rule online
To use our professional PDF editor, follow these steps:
1
Sign into your account. It's time to start your free trial.
2
Upload a file. Select Add New on your Dashboard and upload a file from your device or import it from the cloud, online, or internal mail. Then click Edit.
3
Edit business enterprise program rule. Add and replace text, insert new objects, rearrange pages, add watermarks and page numbers, and more. Click Done when you are finished editing and go to the Documents tab to merge, split, lock or unlock the file.
4
Get your file. Select your file from the documents list and pick your export method. You may save it as a PDF, email it, or upload it to the cloud.
It's easier to work with documents with pdfFiller than you could have believed. Sign up for a free account to view.
Uncompromising security for your PDF editing and eSignature needs
Your private information is safe with pdfFiller. We employ end-to-end encryption, secure cloud storage, and advanced access control to protect your documents and maintain regulatory compliance.
How to fill out business enterprise program rule
How to fill out business enterprise program rule
01
Obtain the Business Enterprise Program (BEP) application form from the designated authority.
02
Carefully read the program guidelines and eligibility criteria.
03
Gather necessary documents such as proof of business ownership, financial statements, and personal identification.
04
Complete the application form providing accurate and detailed information.
05
Review the application for any errors or missing information.
06
Submit the application form along with all required documentation to the appropriate agency.
07
Follow up with the agency to ensure your application is being processed.
Who needs business enterprise program rule?
01
Businesses owned by individuals with disabilities seeking access to state contracting opportunities.
02
Entrepreneurs looking for support and resources to enhance their business operations.
03
Organizations wanting to comply with regulations regarding diversity and inclusion in procurement.
Fill
form
: Try Risk Free
For pdfFiller’s FAQs
Below is a list of the most common customer questions. If you can’t find an answer to your question, please don’t hesitate to reach out to us.
How can I manage my business enterprise program rule directly from Gmail?
In your inbox, you may use pdfFiller's add-on for Gmail to generate, modify, fill out, and eSign your business enterprise program rule and any other papers you receive, all without leaving the program. Install pdfFiller for Gmail from the Google Workspace Marketplace by visiting this link. Take away the need for time-consuming procedures and handle your papers and eSignatures with ease.
How do I edit business enterprise program rule online?
The editing procedure is simple with pdfFiller. Open your business enterprise program rule in the editor. You may also add photos, draw arrows and lines, insert sticky notes and text boxes, and more.
How do I edit business enterprise program rule in Chrome?
Install the pdfFiller Google Chrome Extension in your web browser to begin editing business enterprise program rule and other documents right from a Google search page. When you examine your documents in Chrome, you may make changes to them. With pdfFiller, you can create fillable documents and update existing PDFs from any internet-connected device.
What is business enterprise program rule?
The business enterprise program rule governs the requirements and guidelines for businesses to participate in state programs designed to support economic development and diversity in business ownership.
Who is required to file business enterprise program rule?
Businesses that wish to qualify for state contracts or benefits under the business enterprise program must file the necessary forms and documentation.
How to fill out business enterprise program rule?
To fill out the business enterprise program rule, businesses should collect the required information, complete the designated forms accurately, and provide any supporting documents as specified by the program guidelines.
What is the purpose of business enterprise program rule?
The purpose of the business enterprise program rule is to promote the growth of minority-owned, women-owned, and small businesses by ensuring they have fair access to state contracts and resources.
What information must be reported on business enterprise program rule?
Businesses must report their ownership structure, financial information, and any relevant certifications or qualifications as required by the program.
Fill out your business enterprise program rule online with pdfFiller!
pdfFiller is an end-to-end solution for managing, creating, and editing documents and forms in the cloud. Save time and hassle by preparing your tax forms online.
Business Enterprise Program Rule is not the form you're looking for?Search for another form here.
Relevant keywords
Related Forms
If you believe that this page should be taken down, please follow our DMCA take down process
here
.
This form may include fields for payment information. Data entered in these fields is not covered by PCI DSS compliance.