Get the free Addendum to Exclusive Right to Sell Listing Agreement
Show details
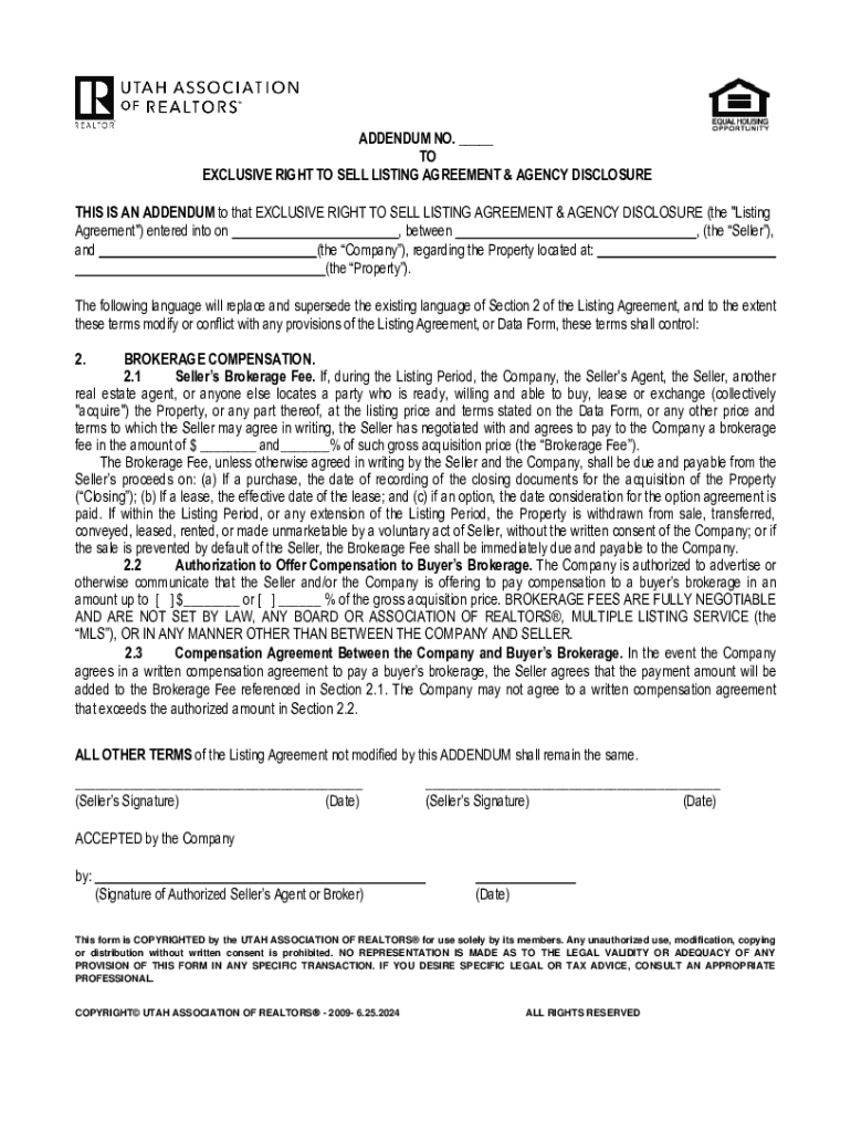
This document serves as an addendum to the Exclusive Right to Sell Listing Agreement, detailing terms related to brokerage compensation, seller\'s fees, and the conditions under which brokerage fees are payable to the Company. It includes clear instructions on the responsibilities of the Seller and the Company regarding negotiations and payments associated with the sale, lease, or exchange of the specified property.
We are not affiliated with any brand or entity on this form
Get, Create, Make and Sign addendum to exclusive right
Edit your addendum to exclusive right form online
Type text, complete fillable fields, insert images, highlight or blackout data for discretion, add comments, and more.
Add your legally-binding signature
Draw or type your signature, upload a signature image, or capture it with your digital camera.
Share your form instantly
Email, fax, or share your addendum to exclusive right form via URL. You can also download, print, or export forms to your preferred cloud storage service.
How to edit addendum to exclusive right online
Follow the steps below to take advantage of the professional PDF editor:
1
Create an account. Begin by choosing Start Free Trial and, if you are a new user, establish a profile.
2
Simply add a document. Select Add New from your Dashboard and import a file into the system by uploading it from your device or importing it via the cloud, online, or internal mail. Then click Begin editing.
3
Edit addendum to exclusive right. Text may be added and replaced, new objects can be included, pages can be rearranged, watermarks and page numbers can be added, and so on. When you're done editing, click Done and then go to the Documents tab to combine, divide, lock, or unlock the file.
4
Save your file. Select it in the list of your records. Then, move the cursor to the right toolbar and choose one of the available exporting methods: save it in multiple formats, download it as a PDF, send it by email, or store it in the cloud.
Uncompromising security for your PDF editing and eSignature needs
Your private information is safe with pdfFiller. We employ end-to-end encryption, secure cloud storage, and advanced access control to protect your documents and maintain regulatory compliance.
How to fill out addendum to exclusive right
How to fill out addendum to exclusive right
01
Review the existing exclusive right agreement to understand the terms.
02
Identify the specific changes or additions that need to be included in the addendum.
03
Clearly label the document as an 'Addendum to Exclusive Right'.
04
State the date of the original agreement to which the addendum relates.
05
Outline the specific sections of the original agreement that are being amended or added.
06
Provide clear, concise language for each amendment or addition.
07
Include signature lines for all parties involved, ensuring that they understand and agree to the changes.
08
Date the addendum once all parties have signed.
Who needs addendum to exclusive right?
01
Parties to an exclusive right agreement who wish to amend the terms.
02
Individuals or companies involved in real estate transactions requiring updates to exclusive rights.
03
Legal representatives managing agreements that require clarification or changes.
Fill
form
: Try Risk Free
For pdfFiller’s FAQs
Below is a list of the most common customer questions. If you can’t find an answer to your question, please don’t hesitate to reach out to us.
How can I modify addendum to exclusive right without leaving Google Drive?
By combining pdfFiller with Google Docs, you can generate fillable forms directly in Google Drive. No need to leave Google Drive to make edits or sign documents, including addendum to exclusive right. Use pdfFiller's features in Google Drive to handle documents on any internet-connected device.
How do I complete addendum to exclusive right on an iOS device?
Install the pdfFiller app on your iOS device to fill out papers. Create an account or log in if you already have one. After registering, upload your addendum to exclusive right. You may now use pdfFiller's advanced features like adding fillable fields and eSigning documents from any device, anywhere.
How do I edit addendum to exclusive right on an Android device?
You can edit, sign, and distribute addendum to exclusive right on your mobile device from anywhere using the pdfFiller mobile app for Android; all you need is an internet connection. Download the app and begin streamlining your document workflow from anywhere.
What is addendum to exclusive right?
An addendum to exclusive right is a supplementary document that modifies or adds to the terms of an existing exclusive rights agreement, often clarifying or expanding the rights granted.
Who is required to file addendum to exclusive right?
The individual or entity that holds the exclusive rights and wishes to amend or clarify those rights is required to file the addendum.
How to fill out addendum to exclusive right?
To fill out an addendum to exclusive right, provide details of the existing agreement, specify the changes being made, include effective dates, and ensure that all parties involved in the original agreement sign the addendum.
What is the purpose of addendum to exclusive right?
The purpose of the addendum is to officially document any changes or clarifications to the terms of an exclusive right agreement, ensuring that all parties are aware and agree to the new terms.
What information must be reported on addendum to exclusive right?
The addendum must report the identification of the original exclusive rights agreement, a description of the amendments or changes being made, party signatures, and date of execution.
Fill out your addendum to exclusive right online with pdfFiller!
pdfFiller is an end-to-end solution for managing, creating, and editing documents and forms in the cloud. Save time and hassle by preparing your tax forms online.
Addendum To Exclusive Right is not the form you're looking for?Search for another form here.
Relevant keywords
Related Forms
If you believe that this page should be taken down, please follow our DMCA take down process
here
.
This form may include fields for payment information. Data entered in these fields is not covered by PCI DSS compliance.