
Get the free Sample patient agreemtn for long-term opioid therapy
Show details
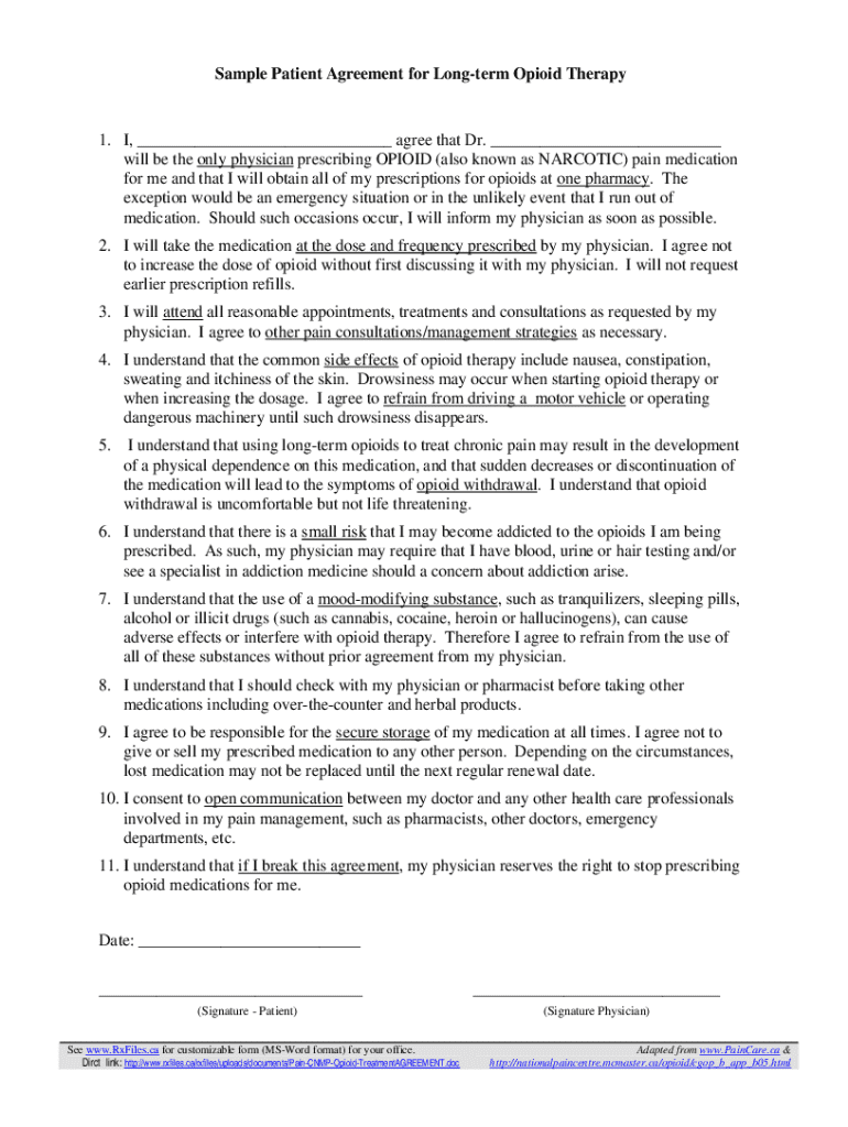
Sample Patient Agreement for Longterm Opioid Therapy1. I, ___ agree that Dr. ___ will be the only physician prescribing OPIOID (also known as NARCOTIC) pain medication for me and that I will obtain
We are not affiliated with any brand or entity on this form
Get, Create, Make and Sign sample patient agreemtn for

Edit your sample patient agreemtn for form online
Type text, complete fillable fields, insert images, highlight or blackout data for discretion, add comments, and more.

Add your legally-binding signature
Draw or type your signature, upload a signature image, or capture it with your digital camera.

Share your form instantly
Email, fax, or share your sample patient agreemtn for form via URL. You can also download, print, or export forms to your preferred cloud storage service.
Editing sample patient agreemtn for online
In order to make advantage of the professional PDF editor, follow these steps below:
1
Create an account. Begin by choosing Start Free Trial and, if you are a new user, establish a profile.
2
Upload a document. Select Add New on your Dashboard and transfer a file into the system in one of the following ways: by uploading it from your device or importing from the cloud, web, or internal mail. Then, click Start editing.
3
Edit sample patient agreemtn for. Rearrange and rotate pages, add new and changed texts, add new objects, and use other useful tools. When you're done, click Done. You can use the Documents tab to merge, split, lock, or unlock your files.
4
Save your file. Select it in the list of your records. Then, move the cursor to the right toolbar and choose one of the available exporting methods: save it in multiple formats, download it as a PDF, send it by email, or store it in the cloud.
With pdfFiller, dealing with documents is always straightforward.
Uncompromising security for your PDF editing and eSignature needs
Your private information is safe with pdfFiller. We employ end-to-end encryption, secure cloud storage, and advanced access control to protect your documents and maintain regulatory compliance.
How to fill out sample patient agreemtn for

How to fill out sample patient agreemtn for
01
Read the entire patient agreement carefully to understand its contents.
02
Fill in your personal details in the designated sections, such as name, date of birth, and contact information.
03
Specify the services or treatments you agree to in the appropriate area.
04
Provide information about your medical history and any known allergies if required.
05
Sign and date the agreement at the bottom to indicate your consent.
06
Keep a copy of the signed agreement for your records.
Who needs sample patient agreemtn for?
01
Patients receiving medical treatment or therapy.
02
Healthcare providers requiring consent and understanding from patients.
03
Legal teams ensuring compliance with healthcare regulations.
04
Insurance companies needing records of patient agreements.
Fill
form
: Try Risk Free
For pdfFiller’s FAQs
Below is a list of the most common customer questions. If you can’t find an answer to your question, please don’t hesitate to reach out to us.
How can I get sample patient agreemtn for?
The premium subscription for pdfFiller provides you with access to an extensive library of fillable forms (over 25M fillable templates) that you can download, fill out, print, and sign. You won’t have any trouble finding state-specific sample patient agreemtn for and other forms in the library. Find the template you need and customize it using advanced editing functionalities.
How do I fill out the sample patient agreemtn for form on my smartphone?
You can easily create and fill out legal forms with the help of the pdfFiller mobile app. Complete and sign sample patient agreemtn for and other documents on your mobile device using the application. Visit pdfFiller’s webpage to learn more about the functionalities of the PDF editor.
How can I fill out sample patient agreemtn for on an iOS device?
In order to fill out documents on your iOS device, install the pdfFiller app. Create an account or log in to an existing one if you have a subscription to the service. Once the registration process is complete, upload your sample patient agreemtn for. You now can take advantage of pdfFiller's advanced functionalities: adding fillable fields and eSigning documents, and accessing them from any device, wherever you are.
What is sample patient agreement for?
A sample patient agreement is used to establish the terms and conditions of the care and services provided to a patient, outlining expectations and responsibilities of both parties.
Who is required to file sample patient agreement for?
Healthcare providers, including hospitals, clinics, and private practices, are typically required to file sample patient agreements to ensure compliance with legal and regulatory standards.
How to fill out sample patient agreement for?
To fill out a sample patient agreement, providers should include patient identification information, details of the services provided, terms of payment, and any consent clauses required.
What is the purpose of sample patient agreement for?
The purpose of a sample patient agreement is to clearly outline the rights and responsibilities of both the patient and the provider, ensuring transparency and mutual understanding.
What information must be reported on sample patient agreement for?
Information that must be reported includes patient demographics, services to be provided, fees, payment terms, confidentiality clauses, and patient rights.
Fill out your sample patient agreemtn for online with pdfFiller!
pdfFiller is an end-to-end solution for managing, creating, and editing documents and forms in the cloud. Save time and hassle by preparing your tax forms online.

Sample Patient Agreemtn For is not the form you're looking for?Search for another form here.
Relevant keywords
Related Forms
If you believe that this page should be taken down, please follow our DMCA take down process
here
.
This form may include fields for payment information. Data entered in these fields is not covered by PCI DSS compliance.