Get the free Apply from Outside of the U.S. - Columbia College
Show details
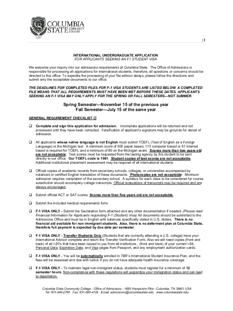
|1INTERNATIONAL UNDERGRADUATE APPLICATION FOR APPLICANTS SEEKING AN F1 STUDENT VISA We welcome your inquiry into our admissions requirements at Columbia State. The Office of Admissions is responsible
We are not affiliated with any brand or entity on this form
Get, Create, Make and Sign apply from outside of
Edit your apply from outside of form online
Type text, complete fillable fields, insert images, highlight or blackout data for discretion, add comments, and more.
Add your legally-binding signature
Draw or type your signature, upload a signature image, or capture it with your digital camera.
Share your form instantly
Email, fax, or share your apply from outside of form via URL. You can also download, print, or export forms to your preferred cloud storage service.
How to edit apply from outside of online
To use our professional PDF editor, follow these steps:
1
Register the account. Begin by clicking Start Free Trial and create a profile if you are a new user.
2
Prepare a file. Use the Add New button. Then upload your file to the system from your device, importing it from internal mail, the cloud, or by adding its URL.
3
Edit apply from outside of. Add and replace text, insert new objects, rearrange pages, add watermarks and page numbers, and more. Click Done when you are finished editing and go to the Documents tab to merge, split, lock or unlock the file.
4
Get your file. Select your file from the documents list and pick your export method. You may save it as a PDF, email it, or upload it to the cloud.
pdfFiller makes dealing with documents a breeze. Create an account to find out!
Uncompromising security for your PDF editing and eSignature needs
Your private information is safe with pdfFiller. We employ end-to-end encryption, secure cloud storage, and advanced access control to protect your documents and maintain regulatory compliance.
How to fill out apply from outside of
How to fill out apply from outside of
01
Obtain the application form from the official website or embassy.
02
Carefully read the instructions provided with the application form.
03
Fill out the personal information section accurately.
04
Provide details of your intended purpose for applying.
05
Gather all required documents to support your application.
06
Review the form for errors and completeness.
07
Submit the application along with any necessary fees to the appropriate authority.
08
Keep a copy of the application for your records.
Who needs apply from outside of?
01
Individuals seeking to relocate for work, study, or other personal reasons.
02
Foreign nationals needing a visa or travel authorization.
03
Those applying for permanent residency or citizenship in another country.
Fill
form
: Try Risk Free
For pdfFiller’s FAQs
Below is a list of the most common customer questions. If you can’t find an answer to your question, please don’t hesitate to reach out to us.
Can I create an eSignature for the apply from outside of in Gmail?
Upload, type, or draw a signature in Gmail with the help of pdfFiller’s add-on. pdfFiller enables you to eSign your apply from outside of and other documents right in your inbox. Register your account in order to save signed documents and your personal signatures.
How can I fill out apply from outside of on an iOS device?
Install the pdfFiller app on your iOS device to fill out papers. If you have a subscription to the service, create an account or log in to an existing one. After completing the registration process, upload your apply from outside of. You may now use pdfFiller's advanced features, such as adding fillable fields and eSigning documents, and accessing them from any device, wherever you are.
How do I complete apply from outside of on an Android device?
Use the pdfFiller mobile app to complete your apply from outside of on an Android device. The application makes it possible to perform all needed document management manipulations, like adding, editing, and removing text, signing, annotating, and more. All you need is your smartphone and an internet connection.
What is apply from outside of?
Apply from outside of refers to the process or form that individuals must complete when applying for certain benefits, permits, or statuses from a location outside of the relevant jurisdiction.
Who is required to file apply from outside of?
Individuals who are not within the jurisdiction where the application is processed and who wish to apply for specific services or permits are typically required to file apply from outside of.
How to fill out apply from outside of?
To fill out apply from outside of, complete the required fields on the form accurately, provide necessary documentation, and ensure that all information is clear and legible.
What is the purpose of apply from outside of?
The purpose of apply from outside of is to facilitate applications from individuals located outside of the jurisdiction, enabling them to access services or permits that would otherwise require in-person attendance.
What information must be reported on apply from outside of?
The information that must be reported includes personal identification details, contact information, specific circumstances surrounding the application, and any supporting documents required.
Fill out your apply from outside of online with pdfFiller!
pdfFiller is an end-to-end solution for managing, creating, and editing documents and forms in the cloud. Save time and hassle by preparing your tax forms online.
Apply From Outside Of is not the form you're looking for?Search for another form here.
Relevant keywords
Related Forms
If you believe that this page should be taken down, please follow our DMCA take down process
here
.
This form may include fields for payment information. Data entered in these fields is not covered by PCI DSS compliance.