Get the free Regional School District 20Home
Show details
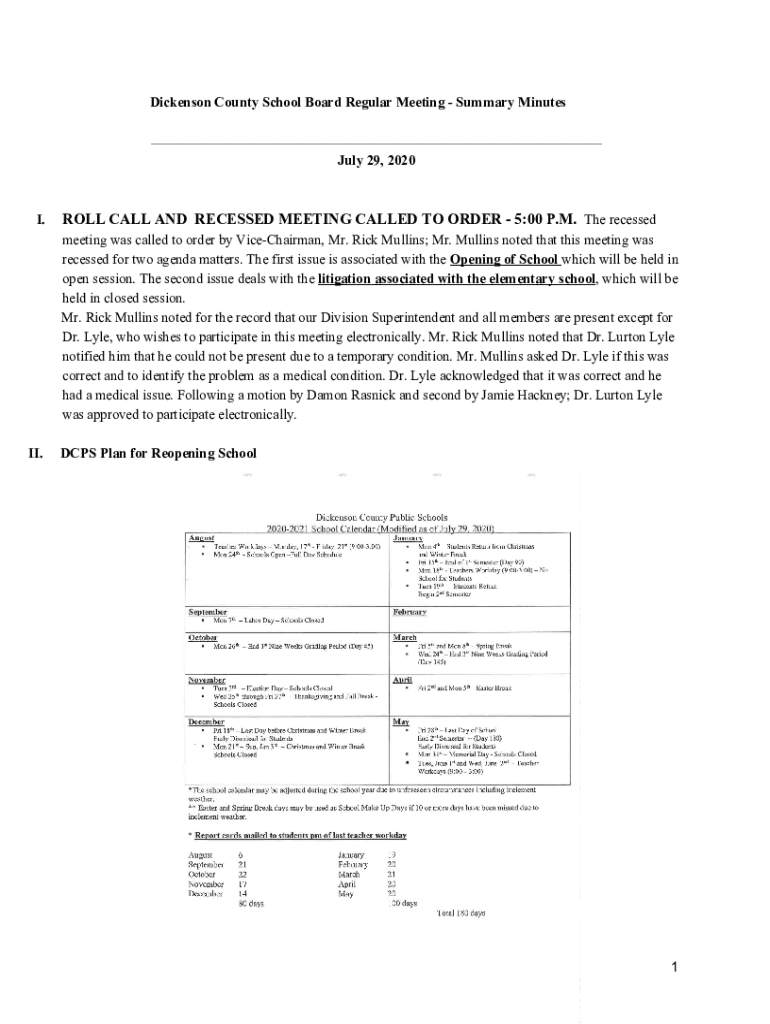
Dickenson County School Board Regular Meeting Summary MinutesJuly 29, 2020I.ROLL CALL AND RECESSED MEETING CALLED TO ORDER 5:00 P.M. The recessedmeeting was called to order by ViceChairman, Mr. Rick
We are not affiliated with any brand or entity on this form
Get, Create, Make and Sign regional school district 20home
Edit your regional school district 20home form online
Type text, complete fillable fields, insert images, highlight or blackout data for discretion, add comments, and more.
Add your legally-binding signature
Draw or type your signature, upload a signature image, or capture it with your digital camera.
Share your form instantly
Email, fax, or share your regional school district 20home form via URL. You can also download, print, or export forms to your preferred cloud storage service.
How to edit regional school district 20home online
Here are the steps you need to follow to get started with our professional PDF editor:
1
Create an account. Begin by choosing Start Free Trial and, if you are a new user, establish a profile.
2
Prepare a file. Use the Add New button. Then upload your file to the system from your device, importing it from internal mail, the cloud, or by adding its URL.
3
Edit regional school district 20home. Rearrange and rotate pages, add new and changed texts, add new objects, and use other useful tools. When you're done, click Done. You can use the Documents tab to merge, split, lock, or unlock your files.
4
Get your file. Select the name of your file in the docs list and choose your preferred exporting method. You can download it as a PDF, save it in another format, send it by email, or transfer it to the cloud.
With pdfFiller, it's always easy to work with documents. Try it!
Uncompromising security for your PDF editing and eSignature needs
Your private information is safe with pdfFiller. We employ end-to-end encryption, secure cloud storage, and advanced access control to protect your documents and maintain regulatory compliance.
How to fill out regional school district 20home
How to fill out regional school district 20home
01
Gather all required documents such as proof of residency, previous school records, and identification.
02
Visit the official website of Regional School District 20 or the designated office to obtain the application form.
03
Fill out the application form with accurate personal information, including student details and parent/guardian contact information.
04
Attach the required documents to the application form.
05
Review the application for completeness and accuracy before submission.
06
Submit the completed application, either online or in person, as instructed on the website.
Who needs regional school district 20home?
01
Families residing within the Regional School District 20 boundaries looking to enroll their children in school.
02
Students who are transferring from other districts and require enrollment in Regional School District 20.
03
Parents/guardians seeking to register their children for the first time in a regional school district.
Fill
form
: Try Risk Free
For pdfFiller’s FAQs
Below is a list of the most common customer questions. If you can’t find an answer to your question, please don’t hesitate to reach out to us.
Can I sign the regional school district 20home electronically in Chrome?
As a PDF editor and form builder, pdfFiller has a lot of features. It also has a powerful e-signature tool that you can add to your Chrome browser. With our extension, you can type, draw, or take a picture of your signature with your webcam to make your legally-binding eSignature. Choose how you want to sign your regional school district 20home and you'll be done in minutes.
Can I create an electronic signature for signing my regional school district 20home in Gmail?
You can easily create your eSignature with pdfFiller and then eSign your regional school district 20home directly from your inbox with the help of pdfFiller’s add-on for Gmail. Please note that you must register for an account in order to save your signatures and signed documents.
How do I fill out the regional school district 20home form on my smartphone?
Use the pdfFiller mobile app to complete and sign regional school district 20home on your mobile device. Visit our web page (https://edit-pdf-ios-android.pdffiller.com/) to learn more about our mobile applications, the capabilities you’ll have access to, and the steps to take to get up and running.
What is regional school district 20home?
Regional School District 20home refers to a specific administrative entity that oversees the education of students within a designated geographic area, typically encompassing multiple localities.
Who is required to file regional school district 20home?
Typically, local educational authorities, schools, or administrative individuals involved in the governance and management of Regional School District 20 are required to file the necessary documentation.
How to fill out regional school district 20home?
To fill out regional school district 20home, individuals must gather the required information, complete the designated forms as instructed, and ensure all sections are filled accurately before submission.
What is the purpose of regional school district 20home?
The purpose of regional school district 20home is to ensure proper funding, resource allocation, and coordination of educational services across the districts it encompasses.
What information must be reported on regional school district 20home?
The information reported may include student enrollment data, financial expenditures, educational outcomes, and any other relevant operational details.
Fill out your regional school district 20home online with pdfFiller!
pdfFiller is an end-to-end solution for managing, creating, and editing documents and forms in the cloud. Save time and hassle by preparing your tax forms online.
Regional School District 20home is not the form you're looking for?Search for another form here.
Relevant keywords
Related Forms
If you believe that this page should be taken down, please follow our DMCA take down process
here
.
This form may include fields for payment information. Data entered in these fields is not covered by PCI DSS compliance.