Get the free Labor Warranty Partnership Agreement
Show details
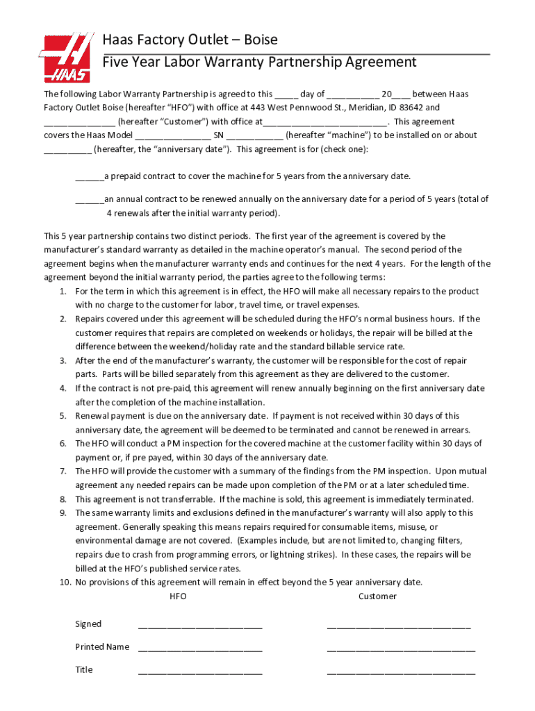
This agreement outlines the terms of a five-year labor warranty partnership between Haas Factory Outlet Boise and a customer, covering the maintenance and repairs of a specified machine after the manufacturer\'s warranty period.
We are not affiliated with any brand or entity on this form
Get, Create, Make and Sign labor warranty partnership agreement
Edit your labor warranty partnership agreement form online
Type text, complete fillable fields, insert images, highlight or blackout data for discretion, add comments, and more.
Add your legally-binding signature
Draw or type your signature, upload a signature image, or capture it with your digital camera.
Share your form instantly
Email, fax, or share your labor warranty partnership agreement form via URL. You can also download, print, or export forms to your preferred cloud storage service.
How to edit labor warranty partnership agreement online
To use the professional PDF editor, follow these steps:
1
Sign into your account. If you don't have a profile yet, click Start Free Trial and sign up for one.
2
Upload a file. Select Add New on your Dashboard and upload a file from your device or import it from the cloud, online, or internal mail. Then click Edit.
3
Edit labor warranty partnership agreement. Rearrange and rotate pages, add new and changed texts, add new objects, and use other useful tools. When you're done, click Done. You can use the Documents tab to merge, split, lock, or unlock your files.
4
Save your file. Select it in the list of your records. Then, move the cursor to the right toolbar and choose one of the available exporting methods: save it in multiple formats, download it as a PDF, send it by email, or store it in the cloud.
The use of pdfFiller makes dealing with documents straightforward. Try it now!
Uncompromising security for your PDF editing and eSignature needs
Your private information is safe with pdfFiller. We employ end-to-end encryption, secure cloud storage, and advanced access control to protect your documents and maintain regulatory compliance.
How to fill out labor warranty partnership agreement
How to fill out labor warranty partnership agreement
01
Start with the title 'Labor Warranty Partnership Agreement'.
02
Include the date of the agreement.
03
Identify the parties involved, including their names and addresses.
04
Define the scope of the warranty, detailing the services provided under the labor warranty.
05
Outline the duration of the warranty period.
06
Specify any conditions or limitations that apply to the warranty.
07
Include the procedures for making a warranty claim.
08
Detail the obligations of each party under the agreement.
09
Include any applicable laws and regulations governing the agreement.
10
Ensure both parties sign and date the agreement.
Who needs labor warranty partnership agreement?
01
Businesses offering labor services that require warranty claims.
02
Contractors and subcontractors in construction and maintenance sectors.
03
Clients seeking assurance on the quality of labor provided.
04
Service companies providing long-term maintenance commitments.
Fill
form
: Try Risk Free
For pdfFiller’s FAQs
Below is a list of the most common customer questions. If you can’t find an answer to your question, please don’t hesitate to reach out to us.
Where do I find labor warranty partnership agreement?
It's simple with pdfFiller, a full online document management tool. Access our huge online form collection (over 25M fillable forms are accessible) and find the labor warranty partnership agreement in seconds. Open it immediately and begin modifying it with powerful editing options.
Can I sign the labor warranty partnership agreement electronically in Chrome?
As a PDF editor and form builder, pdfFiller has a lot of features. It also has a powerful e-signature tool that you can add to your Chrome browser. With our extension, you can type, draw, or take a picture of your signature with your webcam to make your legally-binding eSignature. Choose how you want to sign your labor warranty partnership agreement and you'll be done in minutes.
Can I edit labor warranty partnership agreement on an iOS device?
Yes, you can. With the pdfFiller mobile app, you can instantly edit, share, and sign labor warranty partnership agreement on your iOS device. Get it at the Apple Store and install it in seconds. The application is free, but you will have to create an account to purchase a subscription or activate a free trial.
What is labor warranty partnership agreement?
A labor warranty partnership agreement is a contract between parties that outlines the terms and conditions of labor warranties for services provided, ensuring coverage for specific labor-related issues.
Who is required to file labor warranty partnership agreement?
Typically, businesses or individuals engaging in services that require labor warranties are required to file the labor warranty partnership agreement.
How to fill out labor warranty partnership agreement?
To fill out a labor warranty partnership agreement, you must provide detailed information regarding the parties involved, specific terms of the warranty, scope of services, duration, and signatures from both parties.
What is the purpose of labor warranty partnership agreement?
The purpose of a labor warranty partnership agreement is to protect both parties by clearly defining the responsibilities and liabilities relating to labor services, ensuring compliance, and providing recourse in case of disputes.
What information must be reported on labor warranty partnership agreement?
The information that must be reported typically includes the names and contact information of the parties, the scope of the labor warranty, duration, conditions for coverage, and any exclusions.
Fill out your labor warranty partnership agreement online with pdfFiller!
pdfFiller is an end-to-end solution for managing, creating, and editing documents and forms in the cloud. Save time and hassle by preparing your tax forms online.
Labor Warranty Partnership Agreement is not the form you're looking for?Search for another form here.
Relevant keywords
Related Forms
If you believe that this page should be taken down, please follow our DMCA take down process
here
.
This form may include fields for payment information. Data entered in these fields is not covered by PCI DSS compliance.