Get the free Student Exemption Form
Show details
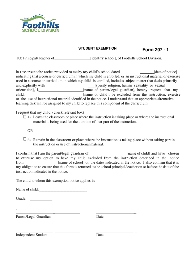
This form is used by parents or legal guardians to request the exclusion of their child from specific instructional materials or exercises that include subject matter related to religion, human sexuality, or sexual orientation. It provides options for how the child will be accommodated during the instruction and ensures that the request is formally recorded with the school.
We are not affiliated with any brand or entity on this form
Get, Create, Make and Sign student exemption form
Edit your student exemption form form online
Type text, complete fillable fields, insert images, highlight or blackout data for discretion, add comments, and more.
Add your legally-binding signature
Draw or type your signature, upload a signature image, or capture it with your digital camera.
Share your form instantly
Email, fax, or share your student exemption form form via URL. You can also download, print, or export forms to your preferred cloud storage service.
How to edit student exemption form online
To use the services of a skilled PDF editor, follow these steps below:
1
Check your account. It's time to start your free trial.
2
Upload a document. Select Add New on your Dashboard and transfer a file into the system in one of the following ways: by uploading it from your device or importing from the cloud, web, or internal mail. Then, click Start editing.
3
Edit student exemption form. Rearrange and rotate pages, add new and changed texts, add new objects, and use other useful tools. When you're done, click Done. You can use the Documents tab to merge, split, lock, or unlock your files.
4
Save your file. Select it in the list of your records. Then, move the cursor to the right toolbar and choose one of the available exporting methods: save it in multiple formats, download it as a PDF, send it by email, or store it in the cloud.
It's easier to work with documents with pdfFiller than you could have believed. You may try it out for yourself by signing up for an account.
Uncompromising security for your PDF editing and eSignature needs
Your private information is safe with pdfFiller. We employ end-to-end encryption, secure cloud storage, and advanced access control to protect your documents and maintain regulatory compliance.
How to fill out student exemption form
How to fill out student exemption form
01
Obtain the student exemption form from the relevant educational institution website or office.
02
Fill in the personal details of the student, including name, student ID, and contact information.
03
Specify the reason for the exemption request in the designated section of the form.
04
Attach any required documentation that supports the exemption request (e.g., medical certificates, counselor letters).
05
Review the completed form for accuracy and completeness.
06
Sign and date the form where indicated.
07
Submit the form by the deadline mentioned on the form, either online or to the appropriate office.
Who needs student exemption form?
01
Students who are unable to meet certain academic requirements due to extenuating circumstances.
02
Students seeking relief from specific fees or penalties.
03
Students with medical conditions or personal situations that impact their studies.
Fill
form
: Try Risk Free
For pdfFiller’s FAQs
Below is a list of the most common customer questions. If you can’t find an answer to your question, please don’t hesitate to reach out to us.
How do I edit student exemption form in Chrome?
Add pdfFiller Google Chrome Extension to your web browser to start editing student exemption form and other documents directly from a Google search page. The service allows you to make changes in your documents when viewing them in Chrome. Create fillable documents and edit existing PDFs from any internet-connected device with pdfFiller.
How can I fill out student exemption form on an iOS device?
Install the pdfFiller iOS app. Log in or create an account to access the solution's editing features. Open your student exemption form by uploading it from your device or online storage. After filling in all relevant fields and eSigning if required, you may save or distribute the document.
How do I complete student exemption form on an Android device?
Use the pdfFiller mobile app to complete your student exemption form on an Android device. The application makes it possible to perform all needed document management manipulations, like adding, editing, and removing text, signing, annotating, and more. All you need is your smartphone and an internet connection.
What is student exemption form?
A student exemption form is a document that allows qualifying students to apply for exemptions from certain fees, taxes, or tuition charges based on specific eligibility criteria.
Who is required to file student exemption form?
Students who meet specific eligibility requirements, such as being full-time students, low-income individuals, or those enrolled in particular programs, are required to file a student exemption form.
How to fill out student exemption form?
To fill out a student exemption form, gather the necessary documentation, complete all required fields including personal information and eligibility criteria, and submit the form to the designated office of the educational institution.
What is the purpose of student exemption form?
The purpose of the student exemption form is to provide a mechanism for eligible students to receive financial relief from certain costs associated with their education, thereby making education more accessible.
What information must be reported on student exemption form?
Information that must be reported on the student exemption form typically includes the student's name, identification number, enrollment status, type of exemption being requested, and any supporting documentation related to eligibility.
Fill out your student exemption form online with pdfFiller!
pdfFiller is an end-to-end solution for managing, creating, and editing documents and forms in the cloud. Save time and hassle by preparing your tax forms online.
Student Exemption Form is not the form you're looking for?Search for another form here.
Relevant keywords
Related Forms
If you believe that this page should be taken down, please follow our DMCA take down process
here
.
This form may include fields for payment information. Data entered in these fields is not covered by PCI DSS compliance.