
Get the free Ncsfpa Board of Directors Candidate Questionnaire
Show details
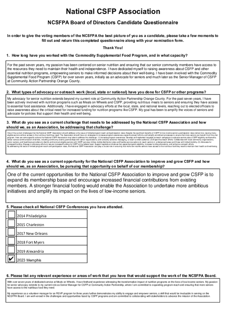
This questionnaire is designed for candidates of the NCSFPA Board of Directors to provide insight into their experiences and advocacy efforts related to the Commodity Supplemental Food Program (CSFP), specifically focusing on challenges, opportunities, and their qualifications.
We are not affiliated with any brand or entity on this form
Get, Create, Make and Sign ncsfpa board of directors

Edit your ncsfpa board of directors form online
Type text, complete fillable fields, insert images, highlight or blackout data for discretion, add comments, and more.

Add your legally-binding signature
Draw or type your signature, upload a signature image, or capture it with your digital camera.

Share your form instantly
Email, fax, or share your ncsfpa board of directors form via URL. You can also download, print, or export forms to your preferred cloud storage service.
Editing ncsfpa board of directors online
To use the professional PDF editor, follow these steps below:
1
Sign into your account. If you don't have a profile yet, click Start Free Trial and sign up for one.
2
Upload a document. Select Add New on your Dashboard and transfer a file into the system in one of the following ways: by uploading it from your device or importing from the cloud, web, or internal mail. Then, click Start editing.
3
Edit ncsfpa board of directors. Rearrange and rotate pages, insert new and alter existing texts, add new objects, and take advantage of other helpful tools. Click Done to apply changes and return to your Dashboard. Go to the Documents tab to access merging, splitting, locking, or unlocking functions.
4
Save your file. Select it from your records list. Then, click the right toolbar and select one of the various exporting options: save in numerous formats, download as PDF, email, or cloud.
Dealing with documents is simple using pdfFiller.
Uncompromising security for your PDF editing and eSignature needs
Your private information is safe with pdfFiller. We employ end-to-end encryption, secure cloud storage, and advanced access control to protect your documents and maintain regulatory compliance.
How to fill out ncsfpa board of directors

How to fill out ncsfpa board of directors
01
Gather required documents and information about the organization.
02
Review the NCSFPA bylaws and guidelines regarding the board of directors.
03
Identify potential board members based on skills, experience, and diversity.
04
Contact potential candidates to discuss their interest and availability.
05
Prepare a nomination form for each candidate, including their qualifications and role.
06
Organize a meeting to present the nominations to existing board members for approval.
07
Ensure that all appointed members complete any necessary training or orientation.
08
Document the election or appointment process in the meeting minutes.
Who needs ncsfpa board of directors?
01
Nonprofit organizations looking for governance and leadership.
02
Community service groups that require oversight and direction.
03
Volunteer-based organizations seeking diverse perspectives.
04
Entities needing accountability and strategic planning.
Fill
form
: Try Risk Free
For pdfFiller’s FAQs
Below is a list of the most common customer questions. If you can’t find an answer to your question, please don’t hesitate to reach out to us.
Can I create an electronic signature for the ncsfpa board of directors in Chrome?
Yes. You can use pdfFiller to sign documents and use all of the features of the PDF editor in one place if you add this solution to Chrome. In order to use the extension, you can draw or write an electronic signature. You can also upload a picture of your handwritten signature. There is no need to worry about how long it takes to sign your ncsfpa board of directors.
Can I create an eSignature for the ncsfpa board of directors in Gmail?
You can easily create your eSignature with pdfFiller and then eSign your ncsfpa board of directors directly from your inbox with the help of pdfFiller’s add-on for Gmail. Please note that you must register for an account in order to save your signatures and signed documents.
How do I edit ncsfpa board of directors on an Android device?
The pdfFiller app for Android allows you to edit PDF files like ncsfpa board of directors. Mobile document editing, signing, and sending. Install the app to ease document management anywhere.
What is ncsfpa board of directors?
The NCSFPA board of directors is a governing body that oversees the operations and policies of the North Carolina State Firefighters' Pension Fund Association.
Who is required to file ncsfpa board of directors?
Members of the NCSFPA board of directors and certain affiliated organizations are required to file information related to the board.
How to fill out ncsfpa board of directors?
The NCSFPA board of directors form should be completed by providing accurate information regarding the board members, their roles, and relevant organizational details as guided in the filing instructions.
What is the purpose of ncsfpa board of directors?
The purpose of the NCSFPA board of directors is to govern the association, ensure the smooth operation of its functions, and serve the interests of firefighters in North Carolina.
What information must be reported on ncsfpa board of directors?
Information required includes the names, titles, and contact information of board members, as well as details of board meetings and decisions.
Fill out your ncsfpa board of directors online with pdfFiller!
pdfFiller is an end-to-end solution for managing, creating, and editing documents and forms in the cloud. Save time and hassle by preparing your tax forms online.

Ncsfpa Board Of Directors is not the form you're looking for?Search for another form here.
Relevant keywords
Related Forms
If you believe that this page should be taken down, please follow our DMCA take down process
here
.
This form may include fields for payment information. Data entered in these fields is not covered by PCI DSS compliance.