
Get the free Identity & Statement of Educational Purpose
Show details
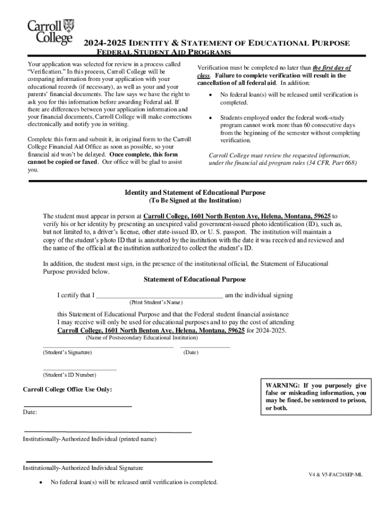
This document is a formal declaration required by Carroll College for students applying for Federal Student Aid. It includes verification requirements, procedures for identity confirmation, and a Statement of Educational Purpose that the student must sign in person or have notarized if unable to attend. It emphasizes the importance of completing verification to avoid delays in federal aid and outlines the consequences of providing false information.
We are not affiliated with any brand or entity on this form
Get, Create, Make and Sign identity statement of educational

Edit your identity statement of educational form online
Type text, complete fillable fields, insert images, highlight or blackout data for discretion, add comments, and more.

Add your legally-binding signature
Draw or type your signature, upload a signature image, or capture it with your digital camera.

Share your form instantly
Email, fax, or share your identity statement of educational form via URL. You can also download, print, or export forms to your preferred cloud storage service.
How to edit identity statement of educational online
Follow the steps below to benefit from a competent PDF editor:
1
Create an account. Begin by choosing Start Free Trial and, if you are a new user, establish a profile.
2
Prepare a file. Use the Add New button to start a new project. Then, using your device, upload your file to the system by importing it from internal mail, the cloud, or adding its URL.
3
Edit identity statement of educational. Rearrange and rotate pages, add and edit text, and use additional tools. To save changes and return to your Dashboard, click Done. The Documents tab allows you to merge, divide, lock, or unlock files.
4
Save your file. Choose it from the list of records. Then, shift the pointer to the right toolbar and select one of the several exporting methods: save it in multiple formats, download it as a PDF, email it, or save it to the cloud.
It's easier to work with documents with pdfFiller than you can have believed. Sign up for a free account to view.
Uncompromising security for your PDF editing and eSignature needs
Your private information is safe with pdfFiller. We employ end-to-end encryption, secure cloud storage, and advanced access control to protect your documents and maintain regulatory compliance.
How to fill out identity statement of educational

How to fill out identity statement of educational
01
Gather personal identification information such as your full name, date of birth, and contact information.
02
Collect educational qualifications including degrees, certifications, and relevant courses.
03
Provide details about the institutions you attended, including names, locations, and dates of attendance.
04
Outline your academic achievements, honors, and any extracurricular activities.
05
Include a section for personal statements or reflections on your educational journey if required.
06
Review the statement for completeness and accuracy before submission.
Who needs identity statement of educational?
01
Students applying for scholarships or financial aid.
02
Individuals seeking admission to higher education institutions.
03
Professionals needing to validate their educational background for job applications.
04
Those applying for licenses or certifications in specific professions.
Fill
form
: Try Risk Free
For pdfFiller’s FAQs
Below is a list of the most common customer questions. If you can’t find an answer to your question, please don’t hesitate to reach out to us.
How can I manage my identity statement of educational directly from Gmail?
In your inbox, you may use pdfFiller's add-on for Gmail to generate, modify, fill out, and eSign your identity statement of educational and any other papers you receive, all without leaving the program. Install pdfFiller for Gmail from the Google Workspace Marketplace by visiting this link. Take away the need for time-consuming procedures and handle your papers and eSignatures with ease.
How can I edit identity statement of educational from Google Drive?
Using pdfFiller with Google Docs allows you to create, amend, and sign documents straight from your Google Drive. The add-on turns your identity statement of educational into a dynamic fillable form that you can manage and eSign from anywhere.
How do I make changes in identity statement of educational?
The editing procedure is simple with pdfFiller. Open your identity statement of educational in the editor. You may also add photos, draw arrows and lines, insert sticky notes and text boxes, and more.
What is identity statement of educational?
The identity statement of educational is a document used to identify and verify the educational institution's attributes, ensuring compliance with relevant regulations.
Who is required to file identity statement of educational?
Educational institutions that receive federal funding or participate in federal student aid programs are required to file the identity statement of educational.
How to fill out identity statement of educational?
To fill out the identity statement of educational, institutions must provide accurate information regarding their institutional identity, programs offered, and compliance with federal requirements.
What is the purpose of identity statement of educational?
The purpose of the identity statement of educational is to ensure transparency and accountability in educational institutions, facilitating oversight and compliance with federal regulations.
What information must be reported on identity statement of educational?
The information that must be reported includes institutional name, address, type of institution, programs offered, and any accreditation details.
Fill out your identity statement of educational online with pdfFiller!
pdfFiller is an end-to-end solution for managing, creating, and editing documents and forms in the cloud. Save time and hassle by preparing your tax forms online.

Identity Statement Of Educational is not the form you're looking for?Search for another form here.
Relevant keywords
Related Forms
If you believe that this page should be taken down, please follow our DMCA take down process
here
.
This form may include fields for payment information. Data entered in these fields is not covered by PCI DSS compliance.